DeepSeek-R1: In centi viz ing Reasoning Capability in LLMs via Reinforcement Learning
DeepSeek-R1:通过强化学习提升大语言模型的推理能力
DeepSeek-AI
DeepSeek-AI
Abstract
摘要
We introduce our first-generation reasoning models, DeepSeek-R1-Zero and DeepSeek-R1. DeepSeek-R1-Zero, a model trained via large-scale reinforcement learning (RL) without supervised fine-tuning (SFT) as a preliminary step, demonstrates remarkable reasoning capabilities. Through RL, DeepSeek-R1-Zero naturally emerges with numerous powerful and intriguing reasoning behaviors. However, it encounters challenges such as poor readability, and language mixing. To address these issues and further enhance reasoning performance, we introduce DeepSeek-R1, which incorporates multi-stage training and cold-start data before RL. DeepSeekR1 achieves performance comparable to OpenAI-o1-1217 on reasoning tasks. To support the research community, we open-source DeepSeek-R1-Zero, DeepSeek-R1, and six dense models (1.5B, 7B, 8B, 14B, 32B, 70B) distilled from DeepSeek-R1 based on Qwen and Llama.
我们推出了第一代推理模型 DeepSeek-R1-Zero 和 DeepSeek-R1。DeepSeek-R1-Zero 是一个通过大规模强化学习 (RL) 训练而成的模型,无需监督微调 (SFT) 作为初步步骤,展示了卓越的推理能力。通过 RL,DeepSeek-R1-Zero 自然涌现出许多强大且有趣的推理行为。然而,它也面临一些挑战,如可读性差和语言混合问题。为了解决这些问题并进一步提升推理性能,我们推出了 DeepSeek-R1,它在 RL 之前结合了多阶段训练和冷启动数据。DeepSeek-R1 在推理任务上实现了与 OpenAI-o1-1217 相媲美的性能。为了支持研究社区,我们开源了 DeepSeek-R1-Zero、DeepSeek-R1 以及基于 Qwen 和 Llama 从 DeepSeek-R1 蒸馏出的六个密集模型 (1.5B, 7B, 8B, 14B, 32B, 70B)。

Figure 1 | Benchmark performance of DeepSeek-R1.
图 1: DeepSeek-R1 的基准性能。
Contents
目录
1 Introduction 3
1 引言 3
2 Approach
2 方法
3 Experiment 11
实验 11
4 Discussion
4 讨论
5 Conclusion, Limitations, and Future Work 16
5 结论、局限性与未来工作 16
A Contributions and Acknowledgments 20
贡献与致谢
1. Introduction
1. 引言
In recent years, Large Language Models (LLMs) have been undergoing rapid iteration and evolution (Anthropic, 2024; Google, 2024; OpenAI, 2024a), progressively diminishing the gap towards Artificial General Intelligence (AGI).
近年来,大语言模型 (Large Language Models, LLMs) 经历了快速的迭代和进化 (Anthropic, 2024; Google, 2024; OpenAI, 2024a),逐步缩小了与通用人工智能 (AGI) 的差距。
Recently, post-training has emerged as an important component of the full training pipeline. It has been shown to enhance accuracy on reasoning tasks, align with social values, and adapt to user preferences, all while requiring relatively minimal computational resources against pre-training. In the context of reasoning capabilities, OpenAI’s o1 (OpenAI, 2024b) series models were the first to introduce inference-time scaling by increasing the length of the Chain-ofThought reasoning process. This approach has achieved significant improvements in various reasoning tasks, such as mathematics, coding, and scientific reasoning. However, the challenge of effective test-time scaling remains an open question for the research community. Several prior works have explored various approaches, including process-based reward models (Lightman et al., 2023; Uesato et al., 2022; Wang et al., 2023), reinforcement learning (Kumar et al., 2024), and search algorithms such as Monte Carlo Tree Search and Beam Search (Feng et al., 2024; Trinh et al., 2024; Xin et al., 2024). However, none of these methods has achieved general reasoning performance comparable to OpenAI’s o1 series models.
最近,后训练已成为完整训练流程中的一个重要组成部分。研究表明,它能够提升推理任务的准确性,与社会价值观对齐,并适应用户偏好,同时相较于预训练所需的计算资源相对较少。在推理能力方面,OpenAI 的 o1 系列模型(OpenAI, 2024b)首次通过增加 Chain-of-Thought 推理过程的长度引入了推理时扩展。这种方法在数学、编码和科学推理等各种推理任务中取得了显著改进。然而,有效的测试时扩展仍然是研究界面临的开放性问题。此前的一些研究探索了多种方法,包括基于过程的奖励模型(Lightman et al., 2023; Uesato et al., 2022; Wang et al., 2023)、强化学习(Kumar et al., 2024)以及蒙特卡洛树搜索和束搜索等搜索算法(Feng et al., 2024; Trinh et al., 2024; Xin et al., 2024)。然而,这些方法均未达到与 OpenAI 的 o1 系列模型相当的通用推理性能。
In this paper, we take the first step toward improving language model reasoning capabilities using pure reinforcement learning (RL). Our goal is to explore the potential of LLMs to develop reasoning capabilities without any supervised data, focusing on their self-evolution through a pure RL process. Specifically, we use DeepSeek-V3-Base as the base model and employ GRPO (Shao et al., 2024) as the RL framework to improve model performance in reasoning. During training, DeepSeek-R1-Zero naturally emerged with numerous powerful and interesting reasoning behaviors. After thousands of RL steps, DeepSeek-R1-Zero exhibits super performance on reasoning benchmarks. For instance, the pass $\mathcal{R}1$ score on AIME 2024 increases from $15.6%$ to $71.0%,$ and with majority voting, the score further improves to $86.7%$ , matching the performance of OpenAI-o1-0912.
在本文中,我们迈出了使用纯强化学习(Reinforcement Learning, RL)提升语言模型推理能力的第一步。我们的目标是探索大语言模型在没有监督数据的情况下发展推理能力的潜力,重点在于通过纯RL过程实现其自我进化。具体而言,我们使用DeepSeek-V3-Base作为基础模型,并采用GRPO(Shao等,2024)作为RL框架来提升模型在推理任务中的表现。在训练过程中,DeepSeek-R1-Zero自然涌现出许多强大且有趣的推理行为。经过数千次RL步骤后,DeepSeek-R1-Zero在推理基准测试中表现出优异的性能。例如,在AIME 2024上,$\mathcal{R}1$分数的通过率从$15.6%$提升到$71.0%$,通过多数投票后,分数进一步提高到$86.7%$,与OpenAI-o1-0912的性能相当。
However, DeepSeek-R1-Zero encounters challenges such as poor readability, and language mixing. To address these issues and further enhance reasoning performance, we introduce DeepSeek-R1, which incorporates a small amount of cold-start data and a multi-stage training pipeline. Specifically, we begin by collecting thousands of cold-start data to fine-tune the DeepSeek-V3-Base model. Following this, we perform reasoning-oriented RL like DeepSeek-R1- Zero. Upon nearing convergence in the RL process, we create new SFT data through rejection sampling on the RL checkpoint, combined with supervised data from DeepSeek-V3 in domains such as writing, factual QA, and self-cognition, and then retrain the DeepSeek-V3-Base model. After fine-tuning with the new data, the checkpoint undergoes an additional RL process, taking into account prompts from all scenarios. After these steps, we obtained a checkpoint referred to as DeepSeek-R1, which achieves performance on par with OpenAI-o1-1217.
然而,DeepSeek-R1-Zero 遇到了可读性差和语言混合等挑战。为了解决这些问题并进一步提升推理性能,我们引入了 DeepSeek-R1,它结合了少量的冷启动数据和多阶段训练流程。具体来说,我们首先收集了数千个冷启动数据来微调 DeepSeek-V3-Base 模型。随后,我们像 DeepSeek-R1-Zero 一样进行面向推理的强化学习 (RL)。在 RL 过程接近收敛时,我们通过对 RL 检查点进行拒绝采样来创建新的 SFT 数据,并结合来自 DeepSeek-V3 的监督数据(如写作、事实问答和自我认知领域),然后重新训练 DeepSeek-V3-Base 模型。使用新数据微调后,检查点会经历额外的 RL 过程,考虑所有场景的提示。经过这些步骤,我们获得了称为 DeepSeek-R1 的检查点,其性能与 OpenAI-o1-1217 相当。
We further explore distillation from DeepSeek-R1 to smaller dense models. Using Qwen2.5- 32B (Qwen, 2024b) as the base model, direct distillation from DeepSeek-R1 outperforms applying RL on it. This demonstrates that the reasoning patterns discovered by larger base models are crucial for improving reasoning capabilities. We open-source the distilled Qwen and Llama (Dubey et al., 2024) series. Notably, our distilled 14B model outperforms state-of-the-art open-source QwQ-32B-Preview (Qwen, 2024a) by a large margin, and the distilled 32B and 70B models set a new record on the reasoning benchmarks among dense models.
我们进一步探索了从 DeepSeek-R1 到更小密集模型的蒸馏过程。以 Qwen2.5-32B (Qwen, 2024b) 为基础模型,直接从 DeepSeek-R1 进行蒸馏的效果优于在其上应用强化学习。这表明,更大基础模型发现的推理模式对于提升推理能力至关重要。我们开源了蒸馏后的 Qwen 和 Llama (Dubey et al., 2024) 系列。值得注意的是,我们蒸馏的 14B 模型大幅超越了当前最先进的开源 QwQ-32B-Preview (Qwen, 2024a),而蒸馏的 32B 和 70B 模型在密集模型的推理基准测试中创下了新纪录。
1.1. Contributions
1.1. 贡献
Post-Training: Large-Scale Reinforcement Learning on the Base Model
后训练:在基础模型上进行大规模强化学习
Distillation: Smaller Models Can Be Powerful Too
蒸馏:小模型也能强大
• We demonstrate that the reasoning patterns of larger models can be distilled into smaller models, resulting in better performance compared to the reasoning patterns discovered through RL on small models. The open source DeepSeek-R1, as well as its API, will benefit the research community to distill better smaller models in the future. • Using the reasoning data generated by DeepSeek-R1, we fine-tuned several dense models that are widely used in the research community. The evaluation results demonstrate that the distilled smaller dense models perform exceptionally well on benchmarks. DeepSeekR1-Distill-Qwen-7B achieves $55.5%$ on AIME 2024, surpassing QwQ-32B-Preview. Additionally, DeepSeek-R1-Distill-Qwen-32B scores $72.6%$ on AIME 2024, $94.3%$ on MATH-500, and $57.2%$ on Live Code Bench. These results significantly outperform previous opensource models and are comparable to o1-mini. We open-source distilled 1.5B, 7B, 8B, 14B, 32B, and 70B checkpoints based on Qwen2.5 and Llama3 series to the community.
• 我们展示了将大模型的推理模式提炼到小模型中,相比在小模型上通过强化学习(RL)发现的推理模式,能够带来更好的性能。开源的 DeepSeek-R1 及其 API 将为研究社区在未来提炼更好的小模型提供帮助。• 利用 DeepSeek-R1 生成的推理数据,我们对研究社区中广泛使用的多个密集模型进行了微调。评估结果表明,经过提炼的小型密集模型在基准测试中表现优异。DeepSeekR1-Distill-Qwen-7B 在 AIME 2024 上达到了 $55.5%$,超越了 QwQ-32B-Preview。此外,DeepSeek-R1-Distill-Qwen-32B 在 AIME 2024 上得分为 $72.6%$,在 MATH-500 上得分为 $94.3%$,在 Live Code Bench 上得分为 $57.2%$。这些结果显著超越了之前的开源模型,并与 o1-mini 相当。我们向社区开源了基于 Qwen2.5 和 Llama3 系列的 1.5B、7B、8B、14B、32B 和 70B 的提炼检查点。
1.2. Summary of Evaluation Results
1.2. 评估结果总结
• Others: DeepSeek-R1 also excels in a wide range of tasks, including creative writing, general question answering, editing, sum mari z ation, and more. It achieves an impressive length-controlled win-rate of $87.6%$ on AlpacaEval 2.0 and a win-rate of $92.3%$ on ArenaHard, showcasing its strong ability to intelligently handle non-exam-oriented queries. Additionally, DeepSeek-R1 demonstrates outstanding performance on tasks requiring long-context understanding, substantially outperforming DeepSeek-V3 on long-context benchmarks.
• 其他:DeepSeek-R1 在创意写作、通用问答、编辑、摘要等多种任务中也表现出色。它在 AlpacaEval 2.0 上的长度控制胜率达到 $87.6%$,在 ArenaHard 上的胜率达到 $92.3%$,展示了其在智能处理非考试导向查询方面的强大能力。此外,DeepSeek-R1 在需要长上下文理解的任务中表现出色,在长上下文基准测试中显著优于 DeepSeek-V3。
2. Approach
2. 方法
2.1. Overview
2.1. 概述
Previous work has heavily relied on large amounts of supervised data to enhance model performance. In this study, we demonstrate that reasoning capabilities can be significantly improved through large-scale reinforcement learning (RL), even without using supervised fine-tuning (SFT) as a cold start. Furthermore, performance can be further enhanced with the inclusion of a small amount of cold-start data. In the following sections, we present: (1) DeepSeek-R1-Zero, which applies RL directly to the base model without any SFT data, and (2) DeepSeek-R1, which applies RL starting from a checkpoint fine-tuned with thousands of long Chain-of-Thought (CoT) examples. 3) Distill the reasoning capability from DeepSeek-R1 to small dense models.
先前的工作严重依赖大量监督数据来提升模型性能。在本研究中,我们证明即使不使用监督微调(SFT)作为冷启动,通过大规模强化学习(RL)也可以显著提升推理能力。此外,加入少量冷启动数据可以进一步提升性能。在接下来的章节中,我们将介绍:(1)DeepSeek-R1-Zero,它直接将RL应用于基础模型,不使用任何SFT数据;(2)DeepSeek-R1,它从经过数千个长链式推理(CoT)示例微调的检查点开始应用RL;(3)将DeepSeek-R1的推理能力提炼到小型密集模型中。
2.2. DeepSeek-R1-Zero: Reinforcement Learning on the Base Model
2.2. DeepSeek-R1-Zero: 基于基础模型的强化学习
Reinforcement learning has demonstrated significant effectiveness in reasoning tasks, as evidenced by our previous works (Shao et al., 2024; Wang et al., 2023). However, these works heavily depended on supervised data, which are time-intensive to gather. In this section, we explore the potential of LLMs to develop reasoning capabilities without any supervised data, focusing on their self-evolution through a pure reinforcement learning process. We start with a brief overview of our RL algorithm, followed by the presentation of some exciting results, and hope this provides the community with valuable insights.
强化学习在推理任务中展示了显著的有效性,正如我们之前的工作 (Shao et al., 2024; Wang et al., 2023) 所证明的那样。然而,这些工作严重依赖于监督数据,而收集这些数据非常耗时。在本节中,我们探索了大语言模型在没有任何监督数据的情况下发展推理能力的潜力,重点关注其通过纯强化学习过程进行自我进化。我们首先简要概述了我们的强化学习算法,随后展示了一些令人兴奋的结果,并希望这些能为社区提供有价值的见解。
2.2.1. Reinforcement Learning Algorithm
2.2.1. 强化学习算法
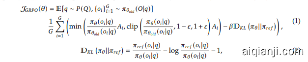
Group Relative Policy Optimization In order to save the training costs of $\mathrm{RL},$ , we adopt Group Relative Policy Optimization (GRPO) (Shao et al., 2024), which foregoes the critic model that is typically the same size as the policy model, and estimates the baseline from group scores instead. Specifically, for each question $q,$ , GRPO samples a group of outputs ${o_{1},o_{2},\cdots,,o_{G}}$ from the old policy $\pi_{\theta_{o l d}}$ and then optimizes the policy model $\pi_{\theta}$ by maximizing the following objective:
组相对策略优化

where $\varepsilon$ and $\beta$ are hyper-parameters, and $A_{i}$ is the advantage, computed using a group of rewards ${r_{1},r_{2},\dots,r_{G}}$ corresponding to the outputs within each group:
其中 $\varepsilon$ 和 $\beta$ 是超参数,$A_{i}$ 是优势,使用对应于每组输出的奖励 ${r_{1},r_{2},\dots,r_{G}}$ 计算得出:

2.2.2. Reward Modeling
2.2.2 奖励建模
The reward is the source of the training signal, which decides the optimization direction of RL. To train DeepSeek-R1-Zero, we adopt a rule-based reward system that mainly consists of two types of rewards:
奖励是训练信号的来源,它决定了强化学习(RL)的优化方向。为了训练 DeepSeek-R1-Zero,我们采用了一个基于规则的奖励系统,主要包括两种类型的奖励:
We do not apply the outcome or process neural reward model in developing DeepSeek-R1-Zero, because we find that the neural reward model may suffer from reward hacking in the large-scale reinforcement learning process, and retraining the reward model needs additional training resources and it complicates the whole training pipeline.
在开发 DeepSeek-R1-Zero 时,我们没有应用结果或过程神经奖励模型,因为我们发现神经奖励模型在大规模强化学习过程中可能会受到奖励攻击,并且重新训练奖励模型需要额外的训练资源,从而使整个训练流程更加复杂。
2.2.3. Training Template
2.2.3. 训练模板
To train DeepSeek-R1-Zero, we begin by designing a straightforward template that guides the base model to adhere to our specified instructions. As depicted in Table 1, this template requires DeepSeek-R1-Zero to first produce a reasoning process, followed by the final answer. We intentionally limit our constraints to this structural format, avoiding any content-specific biases—such as mandating reflective reasoning or promoting particular problem-solving strategies—to ensure that we can accurately observe the model’s natural progression during the RL process.
为了训练 DeepSeek-R1-Zero,我们首先设计了一个简单的模板,指导基础模型遵循我们指定的指令。如表 1 所示,该模板要求 DeepSeek-R1-Zero 先生成推理过程,然后给出最终答案。我们有意将约束限制在这种结构格式上,避免任何内容特定的偏见(例如要求反思性推理或推广特定的问题解决策略),以确保我们能够准确观察模型在强化学习过程中的自然进展。
2.2.4. Performance, Self-evolution Process and Aha Moment of DeepSeek-R1-Zero
2.2.4. DeepSeek-R1-Zero 的性能、自我进化过程与顿悟时刻
Performance of DeepSeek-R1-Zero Figure 2 depicts the performance trajectory of DeepSeekR1-Zero on the AIME 2024 benchmark throughout the RL training process. As illustrated, DeepSeek-R1-Zero demonstrates a steady and consistent enhancement in performance as the RL training advances. Notably, the average pass $\mathcal{R}1$ score on AIME 2024 shows a significant increase, jumping from an initial $15.6%$ to an impressive $71.0%$ , reaching performance levels comparable to OpenAI-o1-0912. This significant improvement highlights the efficacy of our RL algorithm in optimizing the model’s performance over time.
DeepSeek-R1-Zero 性能表现
图 2 展示了 DeepSeek-R1-Zero 在 AIME 2024 基准测试上随着强化学习 (RL) 训练过程的性能轨迹。如图所示,随着 RL 训练的推进,DeepSeek-R1-Zero 表现出稳定且一致的性能提升。值得注意的是,AIME 2024 上的平均通过率 $\mathcal{R}1$ 分数显著增加,从最初的 $15.6%$ 跃升至令人印象深刻的 $71.0%$,达到了与 OpenAI-o1-0912 相当的性能水平。这一显著提升凸显了我们的 RL 算法在优化模型性能方面的有效性。
Table 2 provides a comparative analysis between DeepSeek-R1-Zero and OpenAI’s o1-0912 models across a variety of reasoning-related benchmarks. The findings reveal that RL empowers
表 2: DeepSeek-R1-Zero 与 OpenAI 的 o1-0912 模型在多种推理相关基准上的对比分析。研究结果表明,强化学习 (RL) 能够
| Model | AIME2024 | MATH-500 | GPQA Diamond | LiveCode Bench | CodeForces | |
|---|---|---|---|---|---|---|
| pass@1 | cons@64 | pass@1 | pass@1 | pass@1 | rating | |
| OpenAI-o1-mini | 63.6 | 80.0 | 90.0 | 60.0 | 53.8 | 1820 |
| OpenAI-01-0912 | 74.4 | 83.3 | 94.8 | 77.3 | 63.4 | 1843 |
| DeepSeek-R1-Zero | 71.0 | 86.7 | 95.9 | 73.3 | 50.0 | 1444 |
Table 2 | Comparison of DeepSeek-R1-Zero and OpenAI o1 models on reasoning-related benchmarks.
表 2: DeepSeek-R1-Zero 和 OpenAI o1 模型在推理相关基准上的对比

Figure 2 | AIME accuracy of DeepSeek-R1-Zero during training. For each question, we sample 16 responses and calculate the overall average accuracy to ensure a stable evaluation.
图 2 | DeepSeek-R1-Zero 在训练过程中的 AIME 准确率。对于每个问题,我们采样 16 个响应并计算整体平均准确率以确保评估的稳定性。
DeepSeek-R1-Zero to attain robust reasoning capabilities without the need for any supervised fine-tuning data. This is a noteworthy achievement, as it underscores the model’s ability to learn and generalize effectively through RL alone. Additionally, the performance of DeepSeekR1-Zero can be further augmented through the application of majority voting. For example, when majority voting is employed on the AIME benchmark, DeepSeek-R1-Zero’s performance escalates from $71.0%$ to $86.7%$ , thereby exceeding the performance of OpenAI-o1-0912. The ability of DeepSeek-R1-Zero to achieve such competitive performance, both with and without majority voting, highlights its strong foundational capabilities and its potential for further advancements in reasoning tasks.
DeepSeek-R1-Zero 在无需任何监督微调数据的情况下,实现了强大的推理能力。这一成就尤为显著,因为它突显了模型仅通过强化学习 (RL) 就能有效学习和泛化的能力。此外,通过应用多数投票 (majority voting),可以进一步提升 DeepSeek-R1-Zero 的表现。例如,在 AIME 基准测试中使用多数投票时,DeepSeek-R1-Zero 的表现从 $71.0%$ 提升至 $86.7%$,从而超越了 OpenAI-o1-0912 的表现。DeepSeek-R1-Zero 在有无多数投票的情况下均能取得如此具有竞争力的表现,这凸显了其强大的基础能力以及在推理任务中进一步发展的潜力。
Self-evolution Process of DeepSeek-R1-Zero The self-evolution process of DeepSeek-R1-Zero is a fascinating demonstration of how RL can drive a model to improve its reasoning capabilities autonomously. By initiating RL directly from the base model, we can closely monitor the model’s progression without the influence of the supervised fine-tuning stage. This approach provides a clear view of how the model evolves over time, particularly in terms of its ability to handle complex reasoning tasks.
DeepSeek-R1-Zero 的自我进化过程
DeepSeek-R1-Zero 的自我进化过程是一个令人着迷的演示,展示了强化学习 (RL) 如何驱动模型自主提升其推理能力。通过直接从基础模型启动 RL,我们可以在不受监督微调阶段影响的情况下,密切监控模型的进展。这种方法清晰地展示了模型如何随着时间的推移而进化,特别是在处理复杂推理任务的能力方面。
As depicted in Figure 3, the thinking time of DeepSeek-R1-Zero shows consistent improvement throughout the training process. This improvement is not the result of external adjustments but rather an intrinsic development within the model. DeepSeek-R1-Zero naturally acquires the ability to solve increasingly complex reasoning tasks by leveraging extended test-time computation. This computation ranges from generating hundreds to thousands of reasoning tokens, allowing the model to explore and refine its thought processes in greater depth.
如图 3 所示,DeepSeek-R1-Zero 的思考时间在整个训练过程中表现出持续的提升。这种提升并非外部调整的结果,而是模型内在的发展。DeepSeek-R1-Zero 通过利用延长的测试时间计算,自然地获得了解决日益复杂推理任务的能力。这种计算范围从生成数百到数千个推理 Token,使模型能够更深入地探索和完善其思维过程。

Figure 3 | The average response length of DeepSeek-R1-Zero on the training set during the RL process. DeepSeek-R1-Zero naturally learns to solve reasoning tasks with more thinking time.
图 3 | DeepSeek-R1-Zero 在 RL 过程中训练集上的平均响应长度。DeepSeek-R1-Zero 自然地学会了通过更多的思考时间来解决推理任务。
One of the most remarkable aspects of this self-evolution is the emergence of sophisticated behaviors as the test-time computation increases. Behaviors such as reflection—where the model revisits and reevaluates its previous steps—and the exploration of alternative approaches to problem-solving arise spontaneously. These behaviors are not explicitly programmed but instead emerge as a result of the model’s interaction with the reinforcement learning environment. This spontaneous development significantly enhances DeepSeek-R1-Zero’s reasoning capabilities, enabling it to tackle more challenging tasks with greater efficiency and accuracy.
这种自我进化最显著的一个方面是,随着测试时计算的增加,出现了复杂的行为。例如反思——模型重新审视和评估其先前的步骤——以及探索解决问题的替代方法,这些行为都是自发产生的。这些行为并非显式编程的结果,而是模型与强化学习环境交互的产物。这种自发的发展显著提升了 DeepSeek-R1-Zero 的推理能力,使其能够以更高的效率和准确性应对更具挑战性的任务。
Aha Moment of DeepSeek-R1-Zero A particularly intriguing phenomenon observed during the training of DeepSeek-R1-Zero is the occurrence of an “aha moment”. This moment, as illustrated in Table 3, occurs in an intermediate version of the model. During this phase, DeepSeek-R1-Zero learns to allocate more thinking time to a problem by reevaluating its initial approach. This behavior is not only a testament to the model’s growing reasoning abilities but also a captivating example of how reinforcement learning can lead to unexpected and sophisticated outcomes.
DeepSeek-R1-Zero的顿悟时刻
This moment is not only an “aha moment” for the model but also for the researchers observing its behavior. It underscores the power and beauty of reinforcement learning: rather than explicitly teaching the model on how to solve a problem, we simply provide it with the right incentives, and it autonomously develops advanced problem-solving strategies. The “aha moment” serves as a powerful reminder of the potential of RL to unlock new levels of intelligence in artificial systems, paving the way for more autonomous and adaptive models in the future.
这一时刻不仅是模型的“顿悟时刻”,对于观察其行为的研究人员来说也是如此。它凸显了强化学习的力量与美感:我们无需明确教导模型如何解决问题,只需提供正确的激励,它便能自主地发展出高级的解题策略。这一“顿悟时刻”有力地提醒了我们,强化学习具有释放人工智能系统新智能层次的潜力,为未来更加自主和自适应的模型铺平道路。

Table 3 | An interesting “aha moment” of an intermediate version of DeepSeek-R1-Zero. The model learns to rethink using an anthropomorphic tone. This is also an aha moment for us, allowing us to witness the power and beauty of reinforcement learning.
表 3: DeepSeek-R1-Zero 中间版本的一个有趣的“顿悟时刻”。模型学会了以拟人的语气进行重新思考。这也是我们的一个顿悟时刻,让我们见证了强化学习的力量与美感。
Drawback of DeepSeek-R1-Zero Although DeepSeek-R1-Zero exhibits strong reasoning capabilities and autonomously develops unexpected and powerful reasoning behaviors, it faces several issues. For instance, DeepSeek-R1-Zero struggles with challenges like poor readability, and language mixing. To make reasoning processes more readable and share them with the open community, we explore DeepSeek-R1, a method that utilizes RL with human-friendly cold-start data.
DeepSeek-R1-Zero 的缺点
2.3. DeepSeek-R1: Reinforcement Learning with Cold Start
2.3. DeepSeek-R1: 冷启动下的强化学习
Inspired by the promising results of DeepSeek-R1-Zero, two natural questions arise: 1) Can reasoning performance be further improved or convergence accelerated by incorporating a small amount of high-quality data as a cold start? 2) How can we train a user-friendly model that not only produces clear and coherent Chains of Thought (CoT) but also demonstrates strong general capabilities? To address these questions, we design a pipeline to train DeepSeek-R1. The pipeline consists of four stages, outlined as follows.
受DeepSeek-R1-Zero的出色结果启发,两个自然问题随之而来:1)通过引入少量高质量数据作为冷启动,能否进一步提升推理性能或加速收敛?2)我们如何训练一个用户友好的模型,不仅能生成清晰连贯的思维链(CoT),还能展现出强大的通用能力?为了解决这些问题,我们设计了一个训练DeepSeek-R1的流程。该流程包含四个阶段,概述如下。
2.3.1. Cold Start
2.3.1. 冷启动
Unlike DeepSeek-R1-Zero, to prevent the early unstable cold start phase of RL training from the base model, for DeepSeek-R1 we construct and collect a small amount of long CoT data to fine-tune the model as the initial RL actor. To collect such data, we have explored several approaches: using few-shot prompting with a long CoT as an example, directly prompting models to generate detailed answers with reflection and verification, gathering DeepSeek-R1- Zero outputs in a readable format, and refining the results through post-processing by human annotators.
与 DeepSeek-R1-Zero 不同,为了防止从基础模型进行 RL 训练的早期不稳定冷启动阶段,对于 DeepSeek-R1,我们构建并收集了少量的长 CoT 数据来微调模型作为初始 RL 策略。为了收集此类数据,我们探索了几种方法:使用带有长 CoT 示例的少样本提示、直接提示模型生成带有反思和验证的详细答案、以可读格式收集 DeepSeek-R1-Zero 的输出,并通过人工注释员的后处理来优化结果。
In this work, we collect thousands of cold-start data to fine-tune the DeepSeek-V3-Base as the starting point for RL. Compared to DeepSeek-R1-Zero, the advantages of cold start data
在本工作中,我们收集了数千条冷启动数据来微调 DeepSeek-V3-Base,作为强化学习的起点。与 DeepSeek-R1-Zero 相比,冷启动数据的优势
include:
包含:
2.3.2. Reasoning-oriented Reinforcement Learning
2.3.2. 面向推理的强化学习
After fine-tuning DeepSeek-V3-Base on the cold start data, we apply the same large-scale reinforcement learning training process as employed in DeepSeek-R1-Zero. This phase focuses on enhancing the model’s reasoning capabilities, particularly in reasoning-intensive tasks such as coding, mathematics, science, and logic reasoning, which involve well-defined problems with clear solutions. During the training process, we observe that CoT often exhibits language mixing, particularly when RL prompts involve multiple languages. To mitigate the issue of language mixing, we introduce a language consistency reward during RL training, which is calculated as the proportion of target language words in the CoT. Although ablation experiments show that such alignment results in a slight degradation in the model’s performance, this reward aligns with human preferences, making it more readable. Finally, we combine the accuracy of reasoning tasks and the reward for language consistency by directly summing them to form the final reward. We then apply RL training on the fine-tuned model until it achieves convergence on reasoning tasks.
在对冷启动数据进行微调 DeepSeek-V3-Base 后,我们采用了与 DeepSeek-R1-Zero 相同的大规模强化学习训练过程。这一阶段的重点是增强模型的推理能力,特别是在编码、数学、科学和逻辑推理等涉及明确问题且有清晰解决方案的推理密集型任务中。在训练过程中,我们观察到思维链 (CoT) 经常出现语言混合现象,尤其是在强化学习提示涉及多种语言时。为了缓解语言混合问题,我们在强化学习训练中引入了语言一致性奖励,该奖励通过计算目标语言单词在思维链中的比例来确定。尽管消融实验显示这种对齐会导致模型性能略有下降,但这种奖励符合人类偏好,使其更具可读性。最后,我们将推理任务的准确性与语言一致性奖励直接相加,形成最终奖励。然后,我们在微调后的模型上进行强化学习训练,直到其在推理任务上达到收敛。
2.3.3. Rejection Sampling and Supervised Fine-Tuning
2.3.3. 拒绝采样和监督微调
When reasoning-oriented RL converges, we utilize the resulting checkpoint to collect SFT (Supervised Fine-Tuning) data for the subsequent round. Unlike the initial cold-start data, which primarily focuses on reasoning, this stage incorporates data from other domains to enhance the model’s capabilities in writing, role-playing, and other general-purpose tasks. Specifically, we generate the data and fine-tune the model as described below.
当面向推理的 RL(Reinforcement Learning)收敛时,我们利用生成的检查点来收集 SFT(Supervised Fine-Tuning,监督微调)数据,用于下一轮训练。与最初主要关注推理的冷启动数据不同,此阶段引入了其他领域的数据,以增强模型在写作、角色扮演和其他通用任务中的能力。具体来说,我们按照以下方式生成数据并对模型进行微调。
Reasoning data We curate reasoning prompts and generate reasoning trajectories by performing rejection sampling from the checkpoint from the above RL training. In the previous stage, we only included data that could be evaluated using rule-based rewards. However, in this stage, we expand the dataset by incorporating additional data, some of which use a generative reward model by feeding the ground-truth and model predictions into DeepSeek-V3 for judgment. Additionally, because the model output is sometimes chaotic and difficult to read, we have filtered out chain-of-thought with mixed languages, long parapraphs, and code blocks. For each prompt, we sample multiple responses and retain only the correct ones. In total, we collect about 600k reasoning related training samples.
推理数据 我们从上述强化学习训练的检查点中执行拒绝采样,策划推理提示并生成推理轨迹。在前一阶段,我们仅包含可以使用基于规则的奖励评估的数据。然而,在这一阶段,我们通过引入额外的数据扩展了数据集,其中一些数据通过将真实值和模型预测输入 DeepSeek-V3 进行判断,使用生成式奖励模型。此外,由于模型输出有时混乱且难以阅读,我们过滤掉了混合语言、长段落和代码块的思维链。对于每个提示,我们采样多个响应并仅保留正确的响应。总共,我们收集了约 60 万个与推理相关的训练样本。
Non-Reasoning data For non-reasoning data, such as writing, factual QA, self-cognition, and translation, we adopt the DeepSeek-V3 pipeline and reuse portions of the SFT dataset of DeepSeek-V3. For certain non-reasoning tasks, we call DeepSeek-V3 to generate a potential chain-of-thought before answering the question by prompting. However, for simpler queries, such as “hello” we do not provide a CoT in response. In the end, we collected a total of approximately 200k training samples that are unrelated to reasoning.
非推理数据
We fine-tune DeepSeek-V3-Base for two epochs using the above curated dataset of about 800k samples.
我们使用上述约 80 万样本的精选数据集对 DeepSeek-V3-Base 进行了两个周期的微调。
2.3.4. Reinforcement Learning for all Scenarios
2.3.4. 全场景强化学习
To further align the model with human preferences, we implement a secondary reinforcement learning stage aimed at improving the model’s helpfulness and harmlessness while simultaneously refining its reasoning capabilities. Specifically, we train the model using a combination of reward signals and diverse prompt distributions. For reasoning data, we adhere to the methodology outlined in DeepSeek-R1-Zero, which utilizes rule-based rewards to guide the learning process in math, code, and logical reasoning domains. For general data, we resort to reward models to capture human preferences in complex and nuanced scenarios. We build upon the DeepSeek-V3 pipeline and adopt a similar distribution of preference pairs and training prompts. For helpfulness, we focus exclusively on the final summary, ensuring that the assessment emphasizes the utility and relevance of the response to the user while minimizing interference with the underlying reasoning process. For harmlessness, we evaluate the entire response of the model, including both the reasoning process and the summary, to identify and mitigate any potential risks, biases, or harmful content that may arise during the generation process. Ultimately, the integration of reward signals and diverse data distributions enables us to train a model that excels in reasoning while prioritizing helpfulness and harmlessness.
为了进一步将模型与人类偏好对齐,我们实施了第二阶段的强化学习,旨在提高模型的有用性和无害性,同时优化其推理能力。具体来说,我们结合奖励信号和多样化的提示分布来训练模型。对于推理数据,我们遵循 DeepSeek-R1-Zero 中概述的方法,利用基于规则的奖励来指导数学、代码和逻辑推理领域的学习过程。对于通用数据,我们依靠奖励模型来捕捉复杂和微妙场景中的人类偏好。我们基于 DeepSeek-V3 管道,并采用了类似的偏好对和训练提示分布。对于有用性,我们专注于最终总结,确保评估强调响应对用户的实用性和相关性,同时尽量减少对底层推理过程的干扰。对于无害性,我们评估模型的整个响应,包括推理过程和总结,以识别和减轻生成过程中可能出现的任何潜在风险、偏见或有害内容。最终,奖励信号和多样化数据分布的结合使我们能够训练出一个在推理方面表现出色,同时优先考虑有用性和无害性的模型。
2.4. Distillation: Empower Small Models with Reasoning Capability
2.4 蒸馏:赋予小模型推理能力
To equip more efficient smaller models with reasoning capabilities like DeepSeek-R1, we directly fine-tuned open-source models like Qwen (Qwen, 2024b) and Llama (AI@Meta, 2024) using the 800k samples curated with DeepSeek-R1, as detailed in $\S2.3.3$ . Our findings indicate that this straightforward distillation method significantly enhances the reasoning abilities of smaller models. The base models we use here are Qwen2.5-Math-1.5B, Qwen2.5-Math-7B, Qwen2.5- 14B, Qwen2.5-32B, Llama-3.1-8B, and Llama-3.3-70B-Instruct. We select Llama-3.3 because its reasoning capability is slightly better than that of Llama-3.1.
为了为更高效的小型模型配备类似 DeepSeek-R1 的推理能力,我们直接使用 DeepSeek-R1 整理的 80 万样本对开源模型 Qwen (Qwen, 2024b) 和 Llama (AI@Meta, 2024) 进行了微调,具体细节见 $\S2.3.3$。我们的研究结果表明,这种简单的蒸馏方法显著提升了小型模型的推理能力。我们使用的基础模型包括 Qwen2.5-Math-1.5B、Qwen2.5-Math-7B、Qwen2.5-14B、Qwen2.5-32B、Llama-3.1-8B 和 Llama-3.3-70B-Instruct。我们选择 Llama-3.3 是因为其推理能力略优于 Llama-3.1。
For distilled models, we apply only SFT and do not include an RL stage, even though incorporating RL could substantially boost model performance. Our primary goal here is to demonstrate the effectiveness of the distillation technique, leaving the exploration of the RL stage to the broader research community.
对于蒸馏模型,我们仅应用 SFT,并未包含 RL 阶段,尽管引入 RL 可以显著提升模型性能。我们的主要目标是展示蒸馏技术的有效性,将 RL 阶段的探索留给更广泛的研究社区。
3. Experiment
3. 实验
Benchmarks We evaluate models on MMLU (Hendrycks et al., 2020), MMLU-Redux (Gema et al., 2024), MMLU-Pro (Wang et al., 2024), C-Eval (Huang et al., 2023), and CMMLU (Li et al., 2023), IFEval (Zhou et al., 2023), FRAMES (Krishna et al., 2024), GPQA Diamond (Rein et al., 2023), SimpleQA (OpenAI, 2024c), C-SimpleQA (He et al., 2024), SWE-Bench Verified (OpenAI,
我们在 MMLU (Hendrycks et al., 2020)、MMLU-Redux (Gema et al., 2024)、MMLU-Pro (Wang et al., 2024)、C-Eval (Huang et al., 2023)、CMMLU (Li et al., 2023)、IFEval (Zhou et al., 2023)、FRAMES (Krishna et al., 2024)、GPQA Diamond (Rein et al., 2023)、SimpleQA (OpenAI, 2024c)、C-SimpleQA (He et al., 2024)、SWE-Bench Verified (OpenAI) 等基准上评估模型。
2024d), Aider 1, LiveCodeBench (Jain et al., 2024) (2024-08 – 2025-01), Codeforces 2, Chinese National High School Mathematics Olympiad (CNMO 2024)3, and American Invitational Mathematics Examination 2024 (AIME 2024) (MAA, 2024). In addition to standard benchmarks, we also evaluate our models on open-ended generation tasks using LLMs as judges. Specifically, we adhere to the original configurations of AlpacaEval 2.0 (Dubois et al., 2024) and Arena-Hard (Li et al., 2024), which leverage GPT-4-Turbo-1106 as judges for pairwise comparisons. Here, we only feed the final summary to evaluation to avoid the length bias. For distilled models, we report representative results on AIME 2024, MATH-500, GPQA Diamond, Codeforces, and Live Code Bench.
2024d)、Aider 1、LiveCodeBench (Jain et al., 2024) (2024-08 – 2025-01)、Codeforces 2、中国高中数学奥林匹克 (CNMO 2024)3、美国数学邀请赛 2024 (AIME 2024) (MAA, 2024)。除了标准基准测试外,我们还使用大语言模型作为评判者,对开放生成任务进行评估。具体来说,我们遵循 AlpacaEval 2.0 (Dubois et al., 2024) 和 Arena-Hard (Li et al., 2024) 的原始配置,利用 GPT-4-Turbo-1106 作为成对比较的评判者。在此,我们仅将最终总结提供给评估,以避免长度偏差。对于蒸馏模型,我们报告了在 AIME 2024、MATH-500、GPQA Diamond、Codeforces 和 Live Code Bench 上的代表性结果。
Evaluation Prompts Following the setup in DeepSeek-V3, standard benchmarks such as MMLU, DROP, GPQA Diamond, and SimpleQA are evaluated using prompts from the simpleevals framework. For MMLU-Redux, we adopt the Zero-Eval prompt format (Lin, 2024) in a zero-shot setting. In terms of MMLU-Pro, C-Eval and CLUE-WSC, since the original prompts are few-shot, we slightly modify the prompt to the zero-shot setting. The CoT in few-shot may hurt the performance of DeepSeek-R1. Other datasets follow their original evaluation protocols with default prompts provided by their creators. For code and math benchmarks, the HumanEval-Mul dataset covers eight mainstream programming languages (Python, Java, $C++,$ C#, JavaScript, TypeScript, PHP, and Bash). Model performance on Live Code Bench is evaluated using CoT format, with data collected between August 2024 and January 2025. The Codeforces dataset is evaluated using problems from 10 Div.2 contests along with expert-crafted test cases, after which the expected ratings and percentages of competitors are calculated. SWE-Bench verified results are obtained via the agentless framework (Xia et al., 2024). AIDER-related benchmarks are measured using a "diff" format. DeepSeek-R1 outputs are capped at a maximum of 32,768 tokens for each benchmark.
评估提示
遵循 DeepSeek-V3 的设置,使用 simpleevals 框架中的提示对 MMLU、DROP、GPQA Diamond 和 SimpleQA 等标准基准进行评估。对于 MMLU-Redux,我们在零样本设置中采用 Zero-Eval 提示格式 (Lin, 2024)。至于 MMLU-Pro、C-Eval 和 CLUE-WSC,由于原始提示是少样本的,我们略微修改提示以适应零样本设置。少样本中的 CoT 可能会影响 DeepSeek-R1 的性能。其他数据集遵循其原始评估协议,并采用其创建者提供的默认提示。对于代码和数学基准,HumanEval-Mul 数据集涵盖了八种主流编程语言 (Python语言、Java、$C++,$ C#、JavaScript、TypeScript、PHP 和 Bash)。使用 CoT 格式评估模型在 Live Code Bench 上的性能,数据收集于 2024 年 8 月至 2025 年 1 月之间。Codeforces 数据集使用 10 场 Div.2 比赛的问题以及专家编写的测试用例进行评估,随后计算预期评级和参赛者的百分比。SWE-Bench 验证结果通过无代理框架获得 (Xia et al., 2024)。与 AIDER 相关的基准使用 "diff" 格式进行测量。DeepSeek-R1 的输出在每个基准中最多为 32,768 个 Token。
Baselines We conduct comprehensive evaluations against several strong baselines, including DeepSeek-V3, Claude-Sonnet-3.5-1022, GPT-4o-0513, OpenAI-o1-mini, and OpenAI-o1-1217. Since accessing the OpenAI-o1-1217 API is challenging in mainland China, we report its performance based on official reports. For distilled models, we also compare the open-source model QwQ-32B-Preview (Qwen, 2024a).
基线实验
我们针对多个强大的基线进行了全面评估,包括 DeepSeek-V3、Claude-Sonnet-3.5-1022、GPT-4o-0513、OpenAI-o1-mini 和 OpenAI-o1-1217。由于在中国大陆访问 OpenAI-o1-1217 API 存在困难,我们根据官方报告提供了其性能数据。对于蒸馏模型,我们还比较了开源模型 QwQ-32B-Preview (Qwen, 2024a)。
Evaluation Setup We set the maximum generation length to 32,768 tokens for the models. We found that using greedy decoding to evaluate long-output reasoning models results in higher repetition rates and significant variability across different checkpoints. Therefore, we default to pass $@k$ evaluation (Chen et al., 2021) and report pass $@1$ using a non-zero temperature. Specifically, we use a sampling temperature of 0.6 and a top $\boldsymbol{p}$ value of 0.95 to generate $k$ responses (typically between 4 and 64, depending on the test set size) for each question. Pass@1 is then calculated as
评估设置
我们将模型的最大生成长度设置为 32,768 个 Token。我们发现,使用贪婪解码来评估长输出推理模型会导致更高的重复率,并且不同检查点之间存在显著差异。因此,我们默认使用 pass $@k$ 评估 (Chen et al., 2021) 并报告 pass $@1$,使用非零温度。具体来说,我们使用 0.6 的采样温度和 0.95 的 top $\boldsymbol{p}$ 值来为每个问题生成 $k$ 个响应(通常在 4 到 64 之间,取决于测试集大小)。然后计算 Pass@1 为

where $p_{i}$ denotes the correctness of the $i^{\th}$ -th response. This method provides more reliable performance estimates. For AIME 2024, we also report consensus (majority vote) results (Wang et al., 2022) using 64 samples, denoted as cons $@64$ .
其中 $p_{i}$ 表示第 $i^{\th}$ 个响应的正确性。该方法提供了更可靠的性能估计。对于 AIME 2024,我们还报告了使用 64 个样本的共识(多数投票)结果 (Wang et al., 2022),记为 cons $@64$。
3.1. DeepSeek-R1 Evaluation Table 4 | Comparison between DeepSeek-R1 and other representative models.
For education-oriented knowledge benchmarks such as MMLU, MMLU-Pro, and GPQA Diamond, DeepSeek-R1 demonstrates superior performance compared to DeepSeek-V3. This improvement is primarily attributed to enhanced accuracy in STEM-related questions, where significant gains are achieved through large-scale reinforcement learning. Additionally, DeepSeek-R1 excels on FRAMES, a long-context-dependent QA task, showcasing its strong document analysis capabilities. This highlights the potential of reasoning models in AI-driven search and data analysis tasks. On the factual benchmark SimpleQA, DeepSeek-R1 outperforms DeepSeek-V3, demonstrating its capability in handling fact-based queries. A similar trend is observed where OpenAI-o1 surpasses GPT-4o on this benchmark. However, DeepSeek-R1 performs worse than DeepSeek-V3 on the Chinese SimpleQA benchmark, primarily due to its tendency to refuse answering certain queries after safety RL. Without safety RL, DeepSeek-R1 could achieve an accuracy of over $70%$ .
在教育导向的知识基准测试中,如 MMLU、MMLU-Pro 和 GPQA Diamond,DeepSeek-R1 相较于 DeepSeek-V3 展示了更优异的性能。这一提升主要归因于在 STEM 相关问题上准确率的提高,通过大规模强化学习取得了显著进展。此外,DeepSeek-R1 在 FRAMES 这一长上下文依赖的问答任务中表现突出,展示了其强大的文档分析能力。这凸显了推理模型在 AI 驱动的搜索和数据分析任务中的潜力。在事实性基准测试 SimpleQA 上,DeepSeek-R1 优于 DeepSeek-V3,展示了其处理基于事实的查询的能力。类似趋势在 OpenAI-o1 超越 GPT-4o 的基准测试中也有所体现。然而,DeepSeek-R1 在中文 SimpleQA 基准测试中表现不如 DeepSeek-V3,主要原因是其在安全强化学习后倾向于拒绝回答某些查询。在没有安全强化学习的情况下,DeepSeek-R1 可以达到超过 $70%$ 的准确率。
DeepSeek-R1 also delivers impressive results on IF-Eval, a benchmark designed to assess a model’s ability to follow format instructions. These improvements can be linked to the inclusion of instruction-following data during the final stages of supervised fine-tuning (SFT) and RL training. Furthermore, remarkable performance is observed on Alpaca E val 2.0 and ArenaHard, indicating DeepSeek-R1’s strengths in writing tasks and open-domain question answering. Its significant out performance of DeepSeek-V3 underscores the generalization benefits of large-scale RL, which not only boosts reasoning capabilities but also improves performance across diverse domains. Moreover, the summary lengths generated by DeepSeek-R1 are concise, with an average of 689 tokens on ArenaHard and 2,218 characters on AlpacaEval 2.0. This indicates that
DeepSeek-R1 在 IF-Eval 基准测试中也表现出色,该基准测试旨在评估模型遵循格式指令的能力。这些改进可以归因于在监督微调 (SFT) 和 RL 训练的最后阶段加入了遵循指令的数据。此外,DeepSeek-R1 在 Alpaca Eval 2.0 和 ArenaHard 上也表现优异,表明其在写作任务和开放域问答方面的优势。其显著优于 DeepSeek-V3 的表现凸显了大规模 RL 的泛化优势,不仅提升了推理能力,还改善了跨领域的性能。此外,DeepSeek-R1 生成的摘要长度简洁,在 ArenaHard 上平均为 689 个 Token,在 AlpacaEval 2.0 上平均为 2,218 个字符。这表明
DeepSeek-R1 avoids introducing length bias during GPT-based evaluations, further solidifying its robustness across multiple tasks.
DeepSeek-R1 在基于 GPT 的评估中避免了引入长度偏差,进一步巩固了其跨多个任务的鲁棒性。
On math tasks, DeepSeek-R1 demonstrates performance on par with OpenAI-o1-1217, surpassing other models by a large margin. A similar trend is observed on coding algorithm tasks, such as Live Code Bench and Codeforces, where reasoning-focused models dominate these benchmarks. On engineering-oriented coding tasks, OpenAI-o1-1217 outperforms DeepSeek-R1 on Aider but achieves comparable performance on SWE Verified. We believe the engineering performance of DeepSeek-R1 will improve in the next version, as the amount of related RL training data currently remains very limited.
在数学任务上,DeepSeek-R1 的表现与 OpenAI-o1-1217 相当,远超其他模型。在编程算法任务(如 Live Code Bench 和 Codeforces)中也观察到了类似的趋势,这些基准测试中推理导向的模型占据了主导地位。在工程导向的编程任务上,OpenAI-o1-1217 在 Aider 上的表现优于 DeepSeek-R1,但在 SWE Verified 上表现相当。我们相信 DeepSeek-R1 的工程性能在下一版本中会有所提升,因为目前相关的强化学习 (RL) 训练数据量仍然非常有限。
3.2. Distilled Model Evaluation
Table 5 | Comparison of DeepSeek-R1 distilled models and other comparable models on reasoning-related benchmarks.
3.2. 蒸馏模型评估
| 模型 | AIME2024 | MATH-500 | GPQA Diamond | LiveCode Bench | CodeForces |
|---|---|---|---|---|---|
| pass@1 | cons@64 | pass@1 | pass@1 | pass@1 | |
| GPT-40-0513 Claude-3.5-Sonnet-1022 | 16.0 | 26.7 | 78.3 | 65.0 | 38.9 |
| OpenAI-ol-mini | 63.6 | 80.0 | 90.0 | 60.0 | 53.8 |
| QwQ-32B-Preview | 50.0 | 60.0 | 90.6 | 54.5 | 41.9 |
| 28.9 | 52.7 | 83.9 | 33.8 | 16.9 | |
| DeepSeek-R1-Distill-Qwen-1.5B DeepSeek-R1-Distill-Qwen-7B | 55.5 | 83.3 | 92.8 | 49.1 | 37.6 |
| DeepSeek-R1-Distill-Qwen-14B | 69.7 | 80.0 | 93.9 | 59.1 | 53.1 |
| DeepSeek-R1-Distill-Qwen-32B | 72.6 | 83.3 | 94.3 | 62.1 | 57.2 |
| DeepSeek-R1-Distill-Llama-8B | 50.4 | 80.0 | 89.1 | 49.0 | 39.6 |
| DeepSeek-R1-Distill-Llama-70B | 70.0 | 86.7 | 94.5 | 65.2 | 57.5 |
表 5 | DeepSeek-R1 蒸馏模型与其他可比模型在推理相关基准测试中的比较。
As shown in Table 5, simply distilling DeepSeek-R1’s outputs enables the efficient DeepSeekR1-7B (i.e., DeepSeek-R1-Distill-Qwen-7B, abbreviated similarly below) to outperform nonreasoning models like GPT-4o-0513 across the board. DeepSeek-R1-14B surpasses QwQ-32BPreview on all evaluation metrics, while DeepSeek-R1-32B and DeepSeek-R1-70B significantly exceed o1-mini on most benchmarks. These results demonstrate the strong potential of distillation. Additionally, we found that applying RL to these distilled models yields significant further gains. We believe this warrants further exploration and therefore present only the results of the simple SFT-distilled models here.
如表 5 所示,仅通过蒸馏 DeepSeek-R1 的输出,就能使高效的 DeepSeekR1-7B(即 DeepSeek-R1-Distill-Qwen-7B,下文简称类似)在各方面超越非推理模型如 GPT-4o-0513。DeepSeek-R1-14B 在所有评估指标上均优于 QwQ-32BPreview,而 DeepSeek-R1-32B 和 DeepSeek-R1-70B 在大多数基准测试中显著超越 o1-mini。这些结果展示了蒸馏的强大潜力。此外,我们发现对这些蒸馏模型应用 RL 能带来进一步的显著提升。我们认为这值得进一步探索,因此在此仅展示简单 SFT 蒸馏模型的结果。
4. Discussion
4. 讨论
4.1. Distillation v.s. Reinforcement Learning
4.1. 蒸馏 vs. 强化学习
In Section 3.2, we can see that by distilling DeepSeek-R1, the small model can achieve impressive results. However, there is still one question left: can the model achieve comparable performance through the large-scale RL training discussed in the paper without distillation?
在第3.2节中,我们可以看到,通过蒸馏 DeepSeek-R1,小模型可以取得令人印象深刻的结果。然而,还有一个问题:在没有蒸馏的情况下,模型是否能够通过论文中讨论的大规模强化学习 (RL) 训练达到类似的性能?
To answer this question, we conduct large-scale RL training on Qwen-32B-Base using math, code, and STEM data, training for over 10K steps, resulting in DeepSeek-R1-Zero-Qwen-32B. The experimental results, shown in Table 6, demonstrate that the 32B base model, after large-scale
为了回答这个问题,我们在Qwen-32B-Base的基础上使用数学、代码和STEM数据进行了大规模的强化学习(RL)训练,训练了超过10K步,最终得到了DeepSeek-R1-Zero-Qwen-32B。实验结果如表6所示,表明32B基础模型在大规模训练后
Table 6 | Comparison of distilled and RL Models on Reasoning-Related Benchmarks.
表 6 | 蒸馏模型与强化学习模型在推理相关基准上的对比。
| 模型 | AIME2024 pass@1 | AIME2024 cons@64 | MATH-500 pass@1 | GPQA Diamond pass@1 | LiveCodeBench pass@1 |
|---|---|---|---|---|---|
| QwQ-32B-PrevieW | 50.0 | 60.0 | 90.6 | 54.5 | 41.9 |
| DeepSeek-R1-Zero-Qwen-32B | 47.0 | 60.0 | 91.6 | 55.0 | 40.2 |
| DeepSeek-R1-Distill-Qwen-32B | 72.6 | 83.3 | 94.3 | 62.1 | 57.2 |
RL training, achieves performance on par with QwQ-32B-Preview. However, DeepSeek-R1- Distill-Qwen-32B, which is distilled from DeepSeek-R1, performs significantly better than DeepSeek-R1-Zero-Qwen-32B across all benchmarks.
RL 训练在性能上与 QwQ-32B-Preview 相当。然而,从 DeepSeek-R1 蒸馏而来的 DeepSeek-R1-Distill-Qwen-32B 在所有基准测试中表现显著优于 DeepSeek-R1-Zero-Qwen-32B。
Therefore, we can draw two conclusions: First, distilling more powerful models into smaller ones yields excellent results, whereas smaller models relying on the large-scale RL mentioned in this paper require enormous computational power and may not even achieve the performance of distillation. Second, while distillation strategies are both economical and effective, advancing beyond the boundaries of intelligence may still require more powerful base models and largerscale reinforcement learning.
因此,我们可以得出两个结论:首先,将更强大的模型蒸馏成较小模型可以产生出色的结果,而依赖于本文提到的大规模强化学习的小模型则需要巨大的计算能力,甚至可能无法达到蒸馏的性能。其次,尽管蒸馏策略既经济又有效,但突破智能的边界可能仍需要更强大的基础模型和大规模的强化学习。
4.2. Unsuccessful Attempts
4.2. 失败的尝试
In the early stages of developing DeepSeek-R1, we also encountered failures and setbacks along the way. We share our failure experiences here to provide insights, but this does not imply that these approaches are incapable of developing effective reasoning models.
在开发DeepSeek-R1的早期阶段,我们也经历了一些失败和挫折。我们在此分享失败经验,以提供一些见解,但这并不意味着这些方法无法开发出有效的推理模型。
Process Reward Model (PRM) PRM is a reasonable method to guide the model toward better approaches for solving reasoning tasks (Lightman et al., 2023; Uesato et al., 2022; Wang et al., 2023). However, in practice, PRM has three main limitations that may hinder its ultimate success. First, it is challenging to explicitly define a fine-grain step in general reasoning. Second, determining whether the current intermediate step is correct is a challenging task. Automated annotation using models may not yield satisfactory results, while manual annotation is not conducive to scaling up. Third, once a model-based PRM is introduced, it inevitably leads to reward hacking (Gao et al., 2022), and retraining the reward model needs additional training resources and it complicates the whole training pipeline. In conclusion, while PRM demonstrates a good ability to rerank the top-N responses generated by the model or assist in guided search (Snell et al., 2024), its advantages are limited compared to the additional computational overhead it introduces during the large-scale reinforcement learning process in our experiments.
过程奖励模型 (Process Reward Model, PRM)
Monte Carlo Tree Search (MCTS) Inspired by AlphaGo (Silver et al., 2017b) and AlphaZero (Silver et al., 2017a), we explored using Monte Carlo Tree Search (MCTS) to enhance test-time compute s cal ability. This approach involves breaking answers into smaller parts to allow the model to explore the solution space systematically. To facilitate this, we prompt the model to generate multiple tags that correspond to specific reasoning steps necessary for the search. For training, we first use collected prompts to find answers via MCTS guided by a pre-trained value model. Subsequently, we use the resulting question-answer pairs to train both the actor model and the value model, iterative ly refining the process.
蒙特卡洛树搜索 (MCTS)
受 AlphaGo (Silver et al., 2017b) 和 AlphaZero (Silver et al., 2017a) 的启发,我们探索了使用蒙特卡洛树搜索 (MCTS) 来增强测试时的计算可扩展性。这种方法将答案分解为更小的部分,以便模型能够系统地探索解决方案空间。为了促进这一点,我们提示模型生成多个标签,这些标签对应于搜索所需的特定推理步骤。在训练过程中,我们首先使用收集的提示通过由预训练的价值模型指导的 MCTS 来寻找答案。随后,我们使用生成的问题-答案对来训练行动者模型和价值模型,逐步优化这一过程。
However, this approach encounters several challenges when scaling up the training. First, unlike chess, where the search space is relatively well-defined, token generation presents an exponentially larger search space. To address this, we set a maximum extension limit for each node, but this can lead to the model getting stuck in local optima. Second, the value model directly influences the quality of generation since it guides each step of the search process. Training a fine-grained value model is inherently difficult, which makes it challenging for the model to iterative ly improve. While AlphaGo’s core success relied on training a value model to progressively enhance its performance, this principle proves difficult to replicate in our setup due to the complexities of token generation.
然而,这种方法在扩大训练规模时会遇到几个挑战。首先,与棋类游戏相比,Token 生成的搜索空间呈指数级增长。为了解决这一问题,我们为每个节点设置了最大扩展限制,但这可能导致模型陷入局部最优。其次,由于价值模型指导了搜索过程的每一步,它直接影响生成的质量。训练一个细粒度的价值模型本身就很困难,这使得模型难以迭代改进。尽管 AlphaGo 的核心成功依赖于训练价值模型以逐步提升其性能,但由于 Token 生成的复杂性,这一原则在我们的设置中难以复现。
In conclusion, while MCTS can improve performance during inference when paired with a pre-trained value model, iterative ly boosting model performance through self-search remains a significant challenge.
总之,尽管 MCTS 与预训练的价值模型结合可以在推理过程中提高性能,但通过自搜索迭代提升模型性能仍然是一个重大挑战。
5. Conclusion, Limitations, and Future Work
5. 结论、局限性与未来工作
In this work, we share our journey in enhancing model reasoning abilities through reinforcement learning. DeepSeek-R1-Zero represents a pure RL approach without relying on cold-start data, achieving strong performance across various tasks. DeepSeek-R1 is more powerful, leveraging cold-start data alongside iterative RL fine-tuning. Ultimately, DeepSeek-R1 achieves performance comparable to OpenAI-o1-1217 on a range of tasks.
在这项工作中,我们分享了通过强化学习提升模型推理能力的探索历程。DeepSeek-R1-Zero 代表了一种纯粹的强化学习方法,无需依赖冷启动数据,并在多项任务中表现出色。DeepSeek-R1 则更为强大,它结合了冷启动数据与迭代的强化学习微调。最终,DeepSeek-R1 在一系列任务上的表现与 OpenAI-o1-1217 相当。
We further explore distillation the reasoning capability to small dense models. We use DeepSeek-R1 as the teacher model to generate 800K training samples, and fine-tune several small dense models. The results are promising: DeepSeek-R1-Distill-Qwen-1.5B outperforms GPT-4o and Claude-3.5-Sonnet on math benchmarks with $28.9%$ on AIME and $83.9%$ on MATH. Other dense models also achieve impressive results, significantly outperforming other instructiontuned models based on the same underlying checkpoints.
我们进一步探索了将推理能力蒸馏到小型密集模型中的方法。我们使用 DeepSeek-R1 作为教师模型生成了 80 万条训练样本,并对多个小型密集模型进行了微调。结果令人鼓舞:DeepSeek-R1-Distill-Qwen-1.5B 在数学基准测试中超越了 GPT-4o 和 Claude-3.5-Sonnet,AIME 得分为 28.9%,MATH 得分为 83.9%。其他密集模型也取得了显著成果,显著优于基于相同基础检查点的其他指令调优模型。
In the future, we plan to invest in research across the following directions for DeepSeek-R1.
未来,我们计划在以下方向对 DeepSeek-R1 进行深入研究。
References
参考文献
AI@Meta. Llama 3.1 model card, 2024. URL https://github.com/meta-llama/llama-m odels/blob/main/models/llama3_1/MODEL_CARD.md.
AI@Meta. Llama 3.1 模型卡,2024. URL https://github.com/meta-llama/llama-models/blob/main/models/llama3_1/MODEL_CARD.md.
Anthropic. Claude 3.5 sonnet, 2024. URL https://www.anthropic.com/news/claude-3 -5-sonnet.
Anthropic. Claude 3.5 sonnet, 2024. URL https://www.anthropic.com/news/claude-3 -5-sonnet.
M. Chen, J. Tworek, H. Jun, Q. Yuan, H. P. de Oliveira Pinto, J. Kaplan, H. Edwards, Y. Burda, N. Joseph, G. Brockman, A. Ray, R. Puri, G. Krueger, M. Petrov, H. Khlaaf, G. Sastry, P. Mishkin, B. Chan, S. Gray, N. Ryder, M. Pavlov, A. Power, L. Kaiser, M. Bavarian, C. Winter, P. Tillet, F. P. Such, D. Cummings, M. Plappert, F. Chantzis, E. Barnes, A. Herbert-Voss, W. H. Guss, A. Nichol, A. Paino, N. Tezak, J. Tang, I. Babuschkin, S. Balaji, S. Jain, W. Saunders, C. Hesse, A. N. Carr, J. Leike, J. Achiam, V. Misra, E. Morikawa, A. Radford, M. Knight, M. Brundage, M. Murati, K. Mayer, P. Welinder, B. McGrew, D. Amodei, S. McCandlish, I. Sutskever, and W. Zaremba. Evaluating large language models trained on code. CoRR, abs/2107.03374, 2021. URL https://arxiv.org/abs/2107.03374.
M. Chen, J. Tworek, H. Jun, Q. Yuan, H. P. de Oliveira Pinto, J. Kaplan, H. Edwards, Y. Burda, N. Joseph, G. Brockman, A. Ray, R. Puri, G. Krueger, M. Petrov, H. Khlaaf, G. Sastry, P. Mishkin, B. Chan, S. Gray, N. Ryder, M. Pavlov, A. Power, L. Kaiser, M. Bavarian, C. Winter, P. Tillet, F. P. Such, D. Cummings, M. Plappert, F. Chantzis, E. Barnes, A. Herbert-Voss, W. H. Guss, A. Nichol, A. Paino, N. Tezak, J. Tang, I. Babuschkin, S. Balaji, S. Jain, W. Saunders, C. Hesse, A. N. Carr, J. Leike, J. Achiam, V. Misra, E. Morikawa, A. Radford, M. Knight, M. Brundage, M. Murati, K. Mayer, P. Welinder, B. McGrew, D. Amodei, S. McCandlish, I. Sutskever, 和 W. Zaremba. 评估基于代码训练的大语言模型. CoRR, abs/2107.03374, 2021. URL https://arxiv.org/abs/2107.03374.
A. Dubey, A. Jauhri, A. Pandey, A. Kadian, A. Al-Dahle, A. Letman, A. Mathur, A. Schelten, A. Yang, A. Fan, et al. The llama 3 herd of models. arXiv preprint arXiv:2407.21783, 2024.
A. Dubey, A. Jauhri, A. Pandey, A. Kadian, A. Al-Dahle, A. Letman, A. Mathur, A. Schelten, A. Yang, A. Fan 等。Llama 3 模型群。arXiv 预印本 arXiv:2407.21783, 2024。
Y. Dubois, B. Galambosi, P. Liang, and T. B. Hashimoto. Length-controlled alpacaeval: A simple way to debias automatic evaluators. arXiv preprint arXiv:2404.04475, 2024.
Y. Dubois、B. Galambosi、P. Liang 和 T. B. Hashimoto。长度控制的 AlpacaEval:一种简单的去偏自动评估方法。arXiv 预印本 arXiv:2404.04475,2024。
X. Feng, Z. Wan, M. Wen, S. M. McAleer, Y. Wen, W. Zhang, and J. Wang. Alphazero-like tree-search can guide large language model decoding and training, 2024. URL https: //arxiv.org/abs/2309.17179.
X. Feng, Z. Wan, M. Wen, S. M. McAleer, Y. Wen, W. Zhang 和 J. Wang. Alphazero-like tree-search can guide large language model decoding and training, 2024. URL https://arxiv.org/abs/2309.17179.
L. Gao, J. Schulman, and J. Hilton. Scaling laws for reward model over optimization, 2022. URL https://arxiv.org/abs/2210.10760.
L. Gao, J. Schulman, 和 J. Hilton。奖励模型超优化的扩展定律,2022。URL https://arxiv.org/abs/2210.10760。
A. P. Gema, J. O. J. Leang, G. Hong, A. Devoto, A. C. M. Mancino, R. Saxena, X. He, Y. Zhao, X. Du, M. R. G. Madani, C. Barale, R. McHardy, J. Harris, J. Kaddour, E. van Krieken, and P. Minervini. Are we done with mmlu? CoRR, abs/2406.04127, 2024. URL https://doi.or g/10.48550/arXiv.2406.04127.
A. P. Gema, J. O. J. Leang, G. Hong, A. Devoto, A. C. M. Mancino, R. Saxena, X. He, Y. Zhao, X. Du, M. R. G. Madani, C. Barale, R. McHardy, J. Harris, J. Kaddour, E. van Krieken, 和 P. Minervini. Are we done with mmlu? CoRR, abs/2406.04127, 2024. URL https://doi.org/10.48550/arXiv.2406.04127.
Google. Our next-generation model: Gemini 1.5, 2024. URL https://blog.google/techno logy/ai/google-gemini-next-generation-model-february-2024.
谷歌下一代模型:Gemini 1.5,2024。URL https://blog.google/technology/ai/google-gemini-next-generation-model-february-2024
Y. He, S. Li, J. Liu, Y. Tan, W. Wang, H. Huang, X. Bu, H. Guo, C. Hu, B. Zheng, et al. Chinese simpleqa: A chinese factuality evaluation for large language models. arXiv preprint arXiv:2411.07140, 2024.
Y. He, S. Li, J. Liu, Y. Tan, W. Wang, H. Huang, X. Bu, H. Guo, C. Hu, B. Zheng, 等。Chinese SimpleQA: 面向大语言模型的中文事实性评估。arXiv 预印本 arXiv:2411.07140, 2024。
D. Hendrycks, C. Burns, S. Basart, A. Zou, M. Mazeika, D. Song, and J. Steinhardt. Measuring massive multitask language understanding. arXiv preprint arXiv:2009.03300, 2020.
D. Hendrycks, C. Burns, S. Basart, A. Zou, M. Mazeika, D. Song, and J. Steinhardt. Measuring massive multitask language understanding. arXiv preprint arXiv:2009.03300, 2020.
Y. Huang, Y. Bai, Z. Zhu, J. Zhang, J. Zhang, T. Su, J. Liu, C. Lv, Y. Zhang, J. Lei, et al. C-Eval: A multi-level multi-discipline chinese evaluation suite for foundation models. arXiv preprint arXiv:2305.08322, 2023.
Y. Huang, Y. Bai, Z. Zhu, J. Zhang, J. Zhang, T. Su, J. Liu, C. Lv, Y. Zhang, J. Lei, 等. C-Eval: 一个多层次多学科的中文基础模型评估套件. arXiv preprint arXiv:2305.08322, 2023.
S. Krishna, K. Krishna, A. Mohananey, S. Schwarcz, A. Stambler, S. Upadhyay, and M. Faruqui. Fact, fetch, and reason: A unified evaluation of retrieval-augmented generation. CoRR, abs/2409.12941, 2024. doi: 10.48550/ARXIV.2409.12941. URL https://doi.org/10.485 50/arXiv.2409.12941.
S. Krishna, K. Krishna, A. Mohananey, S. Schwarcz, A. Stambler, S. Upadhyay, 和 M. Faruqui. Fact, fetch, and reason: 检索增强生成的统一评估. CoRR, abs/2409.12941, 2024. doi: 10.48550/ARXIV.2409.12941. URL https://doi.org/10.485 50/arXiv.2409.12941.
A. Kumar, V. Zhuang, R. Agarwal, Y. Su, J. D. Co-Reyes, A. Singh, K. Baumli, S. Iqbal, C. Bishop, R. Roelofs, et al. Training language models to self-correct via reinforcement learning. arXiv preprint arXiv:2409.12917, 2024.
A. Kumar, V. Zhuang, R. Agarwal, Y. Su, J. D. Co-Reyes, A. Singh, K. Baumli, S. Iqbal, C. Bishop, R. Roelofs, 等. 通过强化学习训练语言模型进行自我纠正. arXiv 预印本 arXiv:2409.12917, 2024.
H. Li, Y. Zhang, F. Koto, Y. Yang, H. Zhao, Y. Gong, N. Duan, and T. Baldwin. CMMLU: Measuring massive multitask language understanding in Chinese. arXiv preprint arXiv:2306.09212, 2023.
H. Li, Y. Zhang, F. Koto, Y. Yang, H. Zhao, Y. Gong, N. Duan, and T. Baldwin. CMMLU: 中文大规模多任务语言理解评估. arXiv preprint arXiv:2306.09212, 2023.
T. Li, W.-L. Chiang, E. Frick, L. Dunlap, T. Wu, B. Zhu, J. E. Gonzalez, and I. Stoica. From crowd sourced data to high-quality benchmarks: Arena-hard and bench builder pipeline. arXiv preprint arXiv:2406.11939, 2024.
T. Li, W.-L. Chiang, E. Frick, L. Dunlap, T. Wu, B. Zhu, J. E. Gonzalez, 和 I. Stoica. 从众包数据到高质量基准:Arena-hard 和 Bench Builder 管道. arXiv 预印本 arXiv:2406.11939, 2024.
H. Lightman, V. Kosaraju, Y. Burda, H. Edwards, B. Baker, T. Lee, J. Leike, J. Schulman, I. Sutskever, and K. Cobbe. Let’s verify step by step. arXiv preprint arXiv:2305.20050, 2023.
H. Lightman, V. Kosaraju, Y. Burda, H. Edwards, B. Baker, T. Lee, J. Leike, J. Schulman, I. Sutskever, 和 K. Cobbe。让我们一步步验证。arXiv 预印本 arXiv:2305.20050, 2023。
B. Y. Lin. ZeroEval: A Unified Framework for Evaluating Language Models, July 2024. URL https://github.com/WildEval/ZeroEval.
B. Y. Lin. ZeroEval: 一个统一的语言模型评估框架, 2024年7月. URL https://github.com/WildEval/ZeroEval.
MAA. American invitational mathematics examination - aime. In American Invitational Mathematics Examination - AIME 2024, February 2024. URL https://maa.org/math -competitions/american-invitational-mathematics-examination-aime.
美国数学邀请赛 (AIME)
OpenAI. Hello GPT-4o, 2024a. URL https://openai.com/index/hello-gpt-4o/.
OpenAI. Hello GPT-4o, 2024a. URL https://openai.com/index/hello-gpt-4o/.
OpenAI. Learning to reason with llms, 2024b. URL https://openai.com/index/learnin g-to-reason-with-llms/.
OpenAI. 大语言模型中的推理学习, 2024b. URL https://openai.com/index/learnin g-to-reason-with-llms/.
OpenAI. Introducing SimpleQA, 2024c. URL https://openai.com/index/introducing -simpleqa/.
OpenAI. Introducing SimpleQA, 2024c. URL https://openai.com/index/introducing-simpleqa/.
OpenAI. Introducing SWE-bench verified we’re releasing a human-validated subset of swebench that more, 2024d. URL https://openai.com/index/introducing-swe-bench -verified/.
OpenAI. 介绍 SWE-bench 验证版 我们发布了一个经过人工验证的 swebench 子集,2024d. 网址 https://openai.com/index/introducing-swe-bench-verified/.
Qwen. Qwq: Reflect deeply on the boundaries of the unknown, 2024a. URL https://qwenlm .github.io/blog/qwq-32b-preview/.
Qwen. Qwq: 深入反思未知的边界, 2024a. URL https://qwenlm.github.io/blog/qwq-32b-preview/.
Qwen. Qwen2.5: A party of foundation models, 2024b. URL https://qwenlm.github.io/b log/qwen2.5.
Qwen. Qwen2.5: 基础模型的盛宴, 2024b. URL https://qwenlm.github.io/blog/qwen2.5.
D. Rein, B. L. Hou, A. C. Stickland, J. Petty, R. Y. Pang, J. Dirani, J. Michael, and S. R. Bowman. GPQA: A graduate-level google-proof q&a benchmark. arXiv preprint arXiv:2311.12022, 2023.
D. Rein, B. L. Hou, A. C. Stickland, J. Petty, R. Y. Pang, J. Dirani, J. Michael, and S. R. Bowman. GPQA: 一个研究生级别的防谷歌问答基准。arXiv 预印本 arXiv:2311.12022, 2023.
Z. Shao, P. Wang, Q. Zhu, R. Xu, J. Song, M. Zhang, Y. Li, Y. Wu, and D. Guo. Deep seek math: Pushing the limits of mathematical reasoning in open language models. arXiv preprint arXiv:2402.03300, 2024.
Z. Shao, P. Wang, Q. Zhu, R. Xu, J. Song, M. Zhang, Y. Li, Y. Wu, and D. Guo. Deep seek math: 在开放语言模型中推动数学推理的极限. arXiv preprint arXiv:2402.03300, 2024.
D. Silver, T. Hubert, J. Schr it t wiese r, I. Antonoglou, M. Lai, A. Guez, M. Lanctot, L. Sifre, D. Kumaran, T. Graepel, T. P. Lillicrap, K. Simonyan, and D. Hassabis. Mastering chess and shogi by self-play with a general reinforcement learning algorithm. CoRR, abs/1712.01815, 2017a. URL http://arxiv.org/abs/1712.01815.
D. Silver, T. Hubert, J. Schrittwieser, I. Antonoglou, M. Lai, A. Guez, M. Lanctot, L. Sifre, D. Kumaran, T. Graepel, T. P. Lillicrap, K. Simonyan, and D. Hassabis. 通过自我对弈掌握国际象棋和将棋的通用强化学习算法. CoRR, abs/1712.01815, 2017a. URL http://arxiv.org/abs/1712.01815.
Appendix
附录
A. Contributions and Acknowledgments
A. 贡献与致谢
Zijia Zhu Zijun Liu* Zilin Li Ziwei Xie Ziyang Song Zizheng Pan
Zijia Zhu Zijun Liu* Zilin Li Ziwei Xie Ziyang Song Zizheng Pan
Zhen Huang Zhipeng Xu Zhongyu Zhang Zhen Zhang
Zhen Huang Zhipeng Xu Zhongyu Zhang Zhen Zhang
Within each role, authors are listed alphabetically by the first name. Names marked with * denote individuals who have departed from our team.
在每个角色中,作者按名字的字母顺序排列。标有 * 的姓名表示已离开我们团队的成员。
