Global and Local Mixture Consistency Cumulative Learning for Long-tailed Visual Recognitions
全局与局部混合一致性累积学习用于长尾视觉识别
Abstract
摘要
In this paper, our goal is to design a simple learning paradigm for long-tail visual recognition, which not only improves the robustness of the feature extractor but also alleviates the bias of the classifier towards head classes while reducing the training skills and overhead. We propose an efficient one-stage training strategy for long-tailed visual recognition called Global and Local Mixture Consistency cumulative learning (GLMC). Our core ideas are twofold: (1) a global and local mixture consistency loss improves the robustness of the feature extractor. Specifically, we generate two augmented batches by the global MixUp and local CutMix from the same batch data, respectively, and then use cosine similarity to minimize the difference. (2) A cumulative head-tail soft label reweighted loss mitigates the head class bias problem. We use empirical class frequencies to reweight the mixed label of the head-tail class for long-tailed data and then balance the conventional loss and the rebalanced loss with a coefficient accumulated by epochs. Our approach achieves state-of-the-art accuracy on CIFAR10-LT, CIFAR100-LT, and ImageNet-LT datasets. Additional experiments on balanced ImageNet and CIFAR demonstrate that GLMC can significantly improve the genera liz ation of backbones. Code is made publicly available at https://github.com/ynu-yangpeng/GLMC.
本文的目标是设计一种简单的长尾视觉识别学习范式,该范式不仅能提高特征提取器的鲁棒性,还能减轻分类器对头部类别的偏见,同时减少训练技巧和开销。我们提出了一种高效的一阶段训练策略,称为全局和局部混合一致性累积学习 (GLMC)。我们的核心思想有两个方面:(1) 全局和局部混合一致性损失提高了特征提取器的鲁棒性。具体来说,我们分别通过全局 MixUp 和局部 CutMix 从同一批数据中生成两个增强批次,然后使用余弦相似度来最小化差异。(2) 累积的头尾软标签重加权损失缓解了头部类别偏见问题。我们使用经验类别频率对长尾数据的头尾类别混合标签进行重加权,然后通过累积的系数平衡常规损失和重加权损失。我们的方法在 CIFAR10-LT、CIFAR100-LT 和 ImageNet-LT 数据集上实现了最先进的准确率。在平衡的 ImageNet 和 CIFAR 上的额外实验表明,GLMC 可以显著提高骨干网络的泛化能力。代码已在 https://github.com/ynu-yangpeng/GLMC 公开。

Figure 1. An overview of our GLMC: two types of mixed-label augmented images are processed by an encoder network and a projection head to obtain the representation $h_{g}$ and $h_{l}$ . Then a prediction head transforms the two representations to output $u_{g}$ and $u_{l}$ . We minimize their negative cosine similarity as an auxiliary loss in the supervised loss. $s g(\cdot)$ denotes stop gradient operation.
图 1: 我们的 GLMC 概览:两种类型的混合标签增强图像通过编码器网络和投影头处理,以获得表示 $h_{g}$ 和 $h_{l}$。然后,预测头将这两个表示转换为输出 $u_{g}$ 和 $u_{l}$。我们将它们的负余弦相似度最小化,作为监督损失中的辅助损失。$s g(\cdot)$ 表示停止梯度操作。
1. Introduction
1. 引言
Thanks to the available large-scale datasets, e.g., ImageNet [10], MS COCO [27], and Places [46] Database, deep neural networks have achieved dominant results in image recognition [15]. Distinct from these well-designed balanced datasets, data naturally follows long-tail distribution in real-world scenarios, where a small number of head classes occupy most of the samples. In contrast, dominant tail classes only have a few samples. Moreover, the tail classes are critical for some applications, such as medical diagnosis and autonomous driving. Unfortunately, learning directly from long-tailed data may cause model predictions to over-bias toward the head classes.
得益于大规模数据集(例如 ImageNet [10]、MS COCO [27] 和 Places [46] 数据库)的可用性,深度神经网络在图像识别领域取得了显著成果 [15]。与这些精心设计的平衡数据集不同,现实场景中的数据自然遵循长尾分布,其中少数头部类别占据了大多数样本,而占主导地位的尾部类别则只有少量样本。此外,尾部类别在某些应用中至关重要,例如医疗诊断和自动驾驶。然而,直接从长尾数据中学习可能会导致模型预测过度偏向头部类别。
There are two classical rebalanced strategies for longtailed distribution, including resampling training data [7, 13, 35] and designing cost-sensitive re weighting loss functions [3, 20]. For the resampling methods, the core idea is to oversample the tail class data or under sample the head classes in the SGD mini-batch to balance training. As for the re weighting strategy, it mainly increases the loss weight of the tail classes to strengthen the tail class. However, learning to rebalance the tail classes directly would damage the original distribution [45] of the long-tailed data, either increasing the risk of over fitting in the tail classes or sacrificing the performance of the head classes. Therefore, these methods usually adopt a two-stage training process [1,3,45] to decouple the representation learning and classifier finetuning: the first stage trains the feature extractor on the original data distribution, then fixes the representation and trains a balanced classifier. Although multi-stage training significantly improves the performance of long-tail recognition, it also negatively increases the training tricks and overhead.
针对长尾分布问题,有两种经典的再平衡策略,包括对训练数据进行重采样 [7, 13, 35] 和设计成本敏感的重新加权损失函数 [3, 20]。对于重采样方法,其核心思想是在SGD小批量中对尾部类数据进行过采样或对头部类数据进行欠采样,以实现训练平衡。至于重新加权策略,主要是增加尾部类的损失权重以强化尾部类。然而,直接学习再平衡尾部类可能会破坏长尾数据的原始分布 [45],要么增加尾部类过拟合的风险,要么牺牲头部类的性能。因此,这些方法通常采用两阶段训练过程 [1,3,45] 来解耦表示学习和分类器微调:第一阶段在原始数据分布上训练特征提取器,然后固定表示并训练一个平衡的分类器。尽管多阶段训练显著提高了长尾识别的性能,但也增加了训练技巧和开销。
In this paper, our goal is to design a simple learning paradigm for long-tail visual recognition, which not only improves the robustness of the feature extractor but also alleviates the bias of the classifier towards head classes while reducing the training skills and overhead. For improving representation robustness, recent contrastive learning techniques [8,18,26,47] that learn the consistency of augmented data pairs have achieved excellence. Still, they typically train the network in a two-stage manner, which does not meet our simplification goals, so we modify them as an auxiliary loss in our supervision loss. For head class bias problems, the typical approach is to initialize a new classifier for resampling or re weighting training. Inspired by the cumulative weighted rebalancing [45] branch strategy, we adopt a more efficient adaptive method to balance the conventional and reweighted classification loss.
在本文中,我们的目标是设计一种简单的长尾视觉识别学习范式,该范式不仅提高了特征提取器的鲁棒性,还减轻了分类器对头部类别的偏见,同时减少了训练技巧和开销。为了提高表示的鲁棒性,最近的对比学习技术 [8,18,26,47] 通过学习增强数据对的一致性取得了卓越的成果。然而,它们通常以两阶段的方式训练网络,这不符合我们的简化目标,因此我们将其修改为监督损失中的辅助损失。对于头部类别偏见问题,典型的方法是初始化一个新的分类器以进行重采样或重新加权训练。受累积加权再平衡 [45] 分支策略的启发,我们采用了一种更高效的自适应方法来平衡常规和重新加权的分类损失。
Based on the above analysis, we propose an efficient one-stage training strategy for long-tailed visual recognition called Global and Local Mixture Consistency cumulative learning (GLMC). Our core ideas are twofold: (1) a global and local mixture consistency loss improves the robustness of the model. Specifically, we generate two augmented batches by the global MixUp and local CutMix from the same batch data, respectively, and then use cosine similarity to minimize the difference. (2) A cumulative headtail soft label reweighted loss mitigates the head class bias problem. Specifically, we use empirical class frequencies to reweight the mixed label of the head-tail class for longtailed data and then balance the conventional loss and the rebalanced loss with a coefficient accumulated by epochs.
基于上述分析,我们提出了一种用于长尾视觉识别的高效单阶段训练策略,称为全局和局部混合一致性累积学习 (GLMC)。我们的核心思想有两个方面:(1) 全局和局部混合一致性损失提高了模型的鲁棒性。具体来说,我们分别通过全局 MixUp 和局部 CutMix 从同一批数据中生成两个增强批次,然后使用余弦相似度来最小化差异。(2) 累积头尾软标签重加权损失缓解了头类偏差问题。具体来说,我们使用经验类别频率对长尾数据的头尾类混合标签进行重加权,然后通过按轮次累积的系数来平衡常规损失和重加权损失。
Our method is mainly evaluated in three widely used long-tail image classification benchmark datasets, which include CIFAR10-LT, CIFAR100-LT, and ImageNet-LT datasets. Extensive experiments show that our approach outperforms other methods by a large margin, which verifies the effectiveness of our proposed training scheme. Additional experiments on balanced ImageNet and CIFAR demonstrate that GLMC can significantly improve the genera liz ation of backbones. The main contributions of our work can be summarized as follows:
我们的方法主要在三个广泛使用的长尾图像分类基准数据集上进行评估,包括 CIFAR10-LT、CIFAR100-LT 和 ImageNet-LT 数据集。大量实验表明,我们的方法大幅优于其他方法,验证了我们提出的训练方案的有效性。在平衡的 ImageNet 和 CIFAR 数据集上的额外实验表明,GLMC 能够显著提升骨干网络的泛化能力。我们工作的主要贡献可以总结如下:
• We propose an efficient one-stage training strategy called Global and Local Mixture Consistency cumulative learning framework (GLMC), which can effectively improve the generalization of the backbone for long-tailed visual recognition.
• 我们提出了一种高效的一阶段训练策略,称为全局和局部混合一致性累积学习框架 (GLMC),该框架可以有效提高主干网络在长尾视觉识别任务中的泛化能力。
• GLMC does not require negative sample pairs or large batches and can be as an auxiliary loss added in supervised loss.
• GLMC 不需要负样本对或大批量,可以作为辅助损失添加到监督损失中。
• Our GLMC achieves state-of-the-art performance on three challenging long-tailed recognition benchmarks, including CIFAR10-LT, CIFAR100-LT, and ImageNet-LT datasets. Moreover, experimental results on full ImageNet and CIFAR validate the effectiveness of GLMC under a balanced setting.
• 我们的 GLMC 在三个具有挑战性的长尾识别基准测试中达到了最先进的性能,包括 CIFAR10-LT、CIFAR100-LT 和 ImageNet-LT 数据集。此外,在完整 ImageNet 和 CIFAR 上的实验结果验证了 GLMC 在平衡设置下的有效性。
2. Related Work
2. 相关工作
2.1. Contrastive Representation Learning
2.1 对比表示学习
The recent renaissance of self-supervised learning is expected to obtain a general and transfer r able feature representation by learning pretext tasks. For computer vision, these pretext tasks include rotation prediction [22], relative position prediction of image patches [11], solving jigsaw puzzles [30], and image color iz ation [23, 43]. However, these pretext tasks are usually domain-specific, which limits the generality of learned representations.
最近自监督学习的复兴旨在通过学习前置任务来获得通用且可迁移的特征表示。对于计算机视觉领域,这些前置任务包括旋转预测 [22]、图像块的相对位置预测 [11]、拼图游戏 [30] 以及图像着色 [23, 43]。然而,这些前置任务通常是领域特定的,这限制了所学表示的通用性。
Contrastive learning is a significant branch of selfsupervised learning. Its pretext task is to bring two augmented images (seen as positive samples) of one image closer than the negative samples in the representation space. Recent works [17, 31, 36] have attempted to learn the embedding of images by maximizing the mutual information of two views of an image between latent representations. However, their success relies on a large number of negative samples. To handle this issue, BYOL [12] removes the negative samples and directly predicts the output of one view from another with a momentum encoder to avoid collapsing. Instead of using a momentum encoder, Simsiam [5] adopts siamese networks to maximize the cosine similarity between two augmentations of one image with a simple stop-gradient technique to avoid collapsing.
对比学习是自监督学习的一个重要分支。其前置任务是将一张图像的两个增强版本(视为正样本)在表示空间中拉近,使其比负样本更接近。最近的研究 [17, 31, 36] 尝试通过最大化图像两个视图在潜在表示中的互信息来学习图像的嵌入。然而,它们的成功依赖于大量的负样本。为了解决这个问题,BYOL [12] 移除了负样本,并通过动量编码器直接从一个视图预测另一个视图的输出,以避免崩溃。Simsiam [5] 则没有使用动量编码器,而是采用孪生网络,通过简单的停止梯度技术最大化一张图像的两个增强版本之间的余弦相似度,以避免崩溃。
For long-tail recognition, there have been numerous works [8, 18, 26, 47] to obtain a balanced representation space by introducing a contrastive loss. However, they usually require a multi-stage pipeline and large batches of negative examples for training, which negatively increases training skills and overhead. Our method learns the consistency of the mixed image by cosine similarity, and this method is conveniently added to the supervised training in an auxiliary loss way. Moreover, our approach neither uses negative pairs nor a momentum encoder and does not rely on largebatch training.
对于长尾识别,已有许多工作 [8, 18, 26, 47] 通过引入对比损失来获得平衡的表示空间。然而,这些方法通常需要多阶段流程和大量负样本进行训练,这会增加训练难度和开销。我们的方法通过余弦相似度学习混合图像的一致性,并以辅助损失的方式方便地添加到监督训练中。此外,我们的方法既不使用负样本对,也不使用动量编码器,且不依赖于大批量训练。
2.2. Class Rebalance learning
2.2. 类别重平衡学习
Rebalance training has been widely studied in long-tail recognition. Its core idea is to strengthen the tail class by oversampling [4, 13] or increasing weight [2, 9, 44]. However, over-learning the tail class will also increase the risk of over fitting [45]. Conversely, under-sampling or reducing weight in the head class will sacrifice the performance of head classes. Recent studies [19, 45] have shown that directly training the rebalancing strategy would degrade the performance of representation extraction, so some multistage training methods [1, 19, 45] decouple the training of representation learning and classifier for long-tail recognition. For representation learning, self-supervised-based [18, 26, 47] and augmentation-based [6, 32] methods can improve robustness to long-tailed distributions. And for the rebalanced classifier, such as multi-experts [24, 37], reweighted class if i ers [1], and label-distribution-aware [3], all can effectively enhance the performance of tail classes. Further, [45] proposed a unified Bilateral-Branch Network (BBN) that adaptively adjusts the conventional learning branch and the reversed sampling branch through a cumulative learning strategy. Moreover, we follow BBN to weight the mixed labels of long-tailed data adaptively and do not require an ensemble during testing.
重平衡训练在长尾识别中得到了广泛研究。其核心思想是通过过采样 [4, 13] 或增加权重 [2, 9, 44] 来增强尾部类别。然而,过度学习尾部类别也会增加过拟合的风险 [45]。相反,对头部类别进行欠采样或减少权重会牺牲头部类别的性能。最近的研究 [19, 45] 表明,直接训练重平衡策略会降低表示提取的性能,因此一些多阶段训练方法 [1, 19, 45] 将表示学习和分类器的训练解耦以进行长尾识别。对于表示学习,基于自监督 [18, 26, 47] 和基于数据增强 [6, 32] 的方法可以提高对长尾分布的鲁棒性。而对于重平衡分类器,如多专家模型 [24, 37]、重加权分类器 [1] 和标签分布感知 [3],都可以有效增强尾部类别的性能。此外,[45] 提出了一个统一的双边分支网络 (BBN),通过累积学习策略自适应地调整常规学习分支和反向采样分支。此外,我们遵循 BBN 自适应地对长尾数据的混合标签进行加权,并且在测试期间不需要集成。
3. The Proposed Method
3. 提出的方法
In this section, we provide a detailed description of our GLMC framework. First, we present an overview of our framework in Sec.3.1. Then, we introduce how to learn global and local mixture consistency by maximizing the cosine similarity of two mixed images in Sec.3.2. Next, we propose a cumulative class-balanced strategy to weight long-tailed data labels progressively in Sec.3.3. Finally, we introduce how to optionally use MaxNorm [1, 16] to finetune the classifier weights in Sec.3.4.
在本节中,我们详细描述了我们的 GLMC 框架。首先,我们在第 3.1 节中概述了我们的框架。然后,我们在第 3.2 节中介绍了如何通过最大化两张混合图像的余弦相似度来学习全局和局部混合一致性。接着,我们在第 3.3 节中提出了一种累积类平衡策略,逐步加权长尾数据标签。最后,我们在第 3.4 节中介绍了如何选择性地使用 MaxNorm [1, 16] 来微调分类器权重。
3.1. Overall Framework
3.1. 整体框架
Our framework is divided into the following six major components:
我们的框架分为以下六个主要组成部分:
• A predictor $p r e d(x)$ that maps the output of projection to the contrastive space. The predictor also a fully connected layer and has no activation function. • A linear conventional classifier head $c(x)$ that maps vectors $r$ to category space. The classifier head calculates mixed cross entropy loss with the original data distribution. (optional) A linear rebalanced classifier head $c b(x)$ that maps vectors $r$ to rebalanced category space. The rebalanced classifier calculates mixed cross entropy loss with the reweighted data distribution.
• 一个预测器 $pred(x)$,将投影的输出映射到对比空间。预测器也是一个全连接层,没有激活函数。
• 一个线性常规分类器头 $c(x)$,将向量 $r$ 映射到类别空间。分类器头计算与原始数据分布的混合交叉熵损失。
• (可选)一个线性重平衡分类器头 $cb(x)$,将向量 $r$ 映射到重平衡的类别空间。重平衡分类器计算与重新加权数据分布的混合交叉熵损失。
Note that only the rebalanced classifier $c b(x)$ is retained at the end of training for the long-tailed recognition, while the predictor, projection, and conventional classifier head will be removed. However, for the balanced dataset, the rebalanced classifier $c b(x)$ is not needed.
请注意,在长尾识别的训练结束时,仅保留重新平衡的分类器 $c b(x)$,而预测器、投影和常规分类器头将被移除。然而,对于平衡数据集,不需要重新平衡的分类器 $c b(x)$。
3.2. Global and Local Mixture Consistency Learning
3.2. 全局与局部混合一致性学习
In supervised deep learning, the model is usually divided into two parts: an encoder and a linear classifier. And the class if i ers are label-biased and rely heavily on the quality of representations. Therefore, improving the generalization ability of the encoder will significantly improve the fi- nal classification accuracy of the long-tailed challenge. Inspired by self-supervised learning to improve representation by learning additional pretext tasks, as illustrated in Fig.1, we train the encoder using a standard supervised task and a self-supervised task in a multi-task learning way. Further, unlike simple pretext tasks such as rotation prediction, image color iz ation, etc., following the global and local ideas [39], we expect to learn the global-local consistency through the strong data augmentation method MixUp [42] and CutMix [41].
在监督深度学习中,模型通常分为两部分:编码器和线性分类器。而分类器存在标签偏差,并且严重依赖于表示的质量。因此,提高编码器的泛化能力将显著改善长尾挑战的最终分类准确率。受自监督学习通过额外的前置任务学习来改进表示的启发,如图1所示,我们以多任务学习的方式使用标准监督任务和自监督任务来训练编码器。此外,与旋转预测、图像着色等简单的前置任务不同,遵循全局和局部思想 [39],我们期望通过强大的数据增强方法 MixUp [42] 和 CutMix [41] 来学习全局-局部一致性。
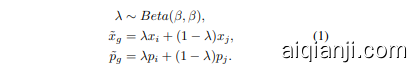
Global Mixture. MixUp is a global mixed-label data augmentation method that generates mixture samples by mixing two images of different classes. For a pair of two images and their labels probabilities $\left({x_{i},p_{i}}\right)$ and $(x_{j},p_{j})$ , we calculate $(\tilde{x}{g},\tilde{p}{g})$ by
全局混合。MixUp 是一种全局混合标签数据增强方法,通过混合两个不同类别的图像生成混合样本。对于一对图像及其标签概率 $\left({x_{i},p_{i}}\right)$ 和 $(x_{j},p_{j})$,我们通过计算得到 $(\tilde{x}{g},\tilde{p}{g})$。

where $\lambda$ is sampled from a Beta distribution parameterized by the $\beta$ hyper-parameter. Note that $p$ are one-hot vectors. Local Mixture. Different from MixUp, CutMix combines two images by locally replacing the image region with a patch from another training image. We define the combining operation as
其中 $\lambda$ 是从由超参数 $\beta$ 参数化的 Beta 分布中采样的。注意 $p$ 是 one-hot 向量。局部混合。与 MixUp 不同,CutMix 通过用另一个训练图像的局部区域替换图像区域来组合两张图像。我们将组合操作定义为


Figure 2. An illustration of the cumulative class-balanced learning pipeline. We apply uniform and reversed samplers to obtain head and tail data, and then they are synthesized into head-tail mixture samples by MixUp and CutMix. The cumulative learning strategy adaptively weights the rebalanced classifier and the conventional classifier by epochs.
图 2: 累积类平衡学习流程的示意图。我们应用均匀采样器和反向采样器来获取头部和尾部数据,然后通过 MixUp 和 CutMix 将它们合成为头尾混合样本。累积学习策略根据训练轮次自适应地加权重新平衡的分类器和常规分类器。
where $M\in{0,1}^{W\times H}$ denotes the randomly selected pixel patch from the image $x_{i}$ and pasted on $x_{j}$ , 1 is a binary mask filled with ones, and $\odot$ is element-wise multiplication. Concretely, we sample the bounding box coordinates $\boldsymbol{B}=\left(r_{x},r_{y},r_{w},r_{h}\right)$ indicating the cropping regions on $x_{i}$ and $x_{j}$ . The box coordinates are uniformly sampled according to
其中 $M\in{0,1}^{W\times H}$ 表示从图像 $x_{i}$ 中随机选择的像素块并粘贴到 $x_{j}$ 上,1 是一个填充为 1 的二进制掩码,$\odot$ 是逐元素乘法。具体来说,我们采样边界框坐标 $\boldsymbol{B}=\left(r_{x},r_{y},r_{w},r_{h}\right)$,表示在 $x_{i}$ 和 $x_{j}$ 上的裁剪区域。边界框坐标根据以下公式均匀采样:

where $\lambda$ is also sampled from the $B e t a(\beta,\beta)$ , and their mixed labels are the same as MixUp.
其中 $\lambda$ 也从 $B e t a(\beta,\beta)$ 中采样,它们的混合标签与 MixUp 相同。
Self-Supervised Learning Branch. Previous works require large batches of negative samples [17, 36] or a memory bank [14] to train the network. That makes it difficult to apply to devices with limited memory. For simplicity, our goal is to maximize the cosine similarity of global and local mixtures in representation space to obtain contrastive consistency. Specifically, the two types of augmented images are processed by an encoder network and a projection head to obtain the representation $h_{g}$ and $h_{l}$ . Then a prediction head transforms the two representations to output $u_{g}$ and $u_{l}$ . We minimize their negative cosine similarity:
自监督学习分支。之前的工作需要大批量的负样本 [17, 36] 或内存库 [14] 来训练网络。这使得在内存有限的设备上难以应用。为了简化,我们的目标是最大化全局和局部混合在表示空间中的余弦相似度,以获得对比一致性。具体来说,两种类型的增强图像通过编码器网络和投影头处理,得到表示 $h_{g}$ 和 $h_{l}$。然后,预测头将这两种表示转换为输出 $u_{g}$ 和 $u_{l}$。我们最小化它们的负余弦相似度:

where $\left\Vert\cdot\right\Vert$ is $l_{2}$ normalization. An undesired trivial solution to minimize the negative cosine similarity of augmented images is all outputs “collapsing” to a constant. Following SimSiam [5], we use a stop gradient operation to prevent collapsing. The SimSiam loss function is defined as:
其中 $\left\Vert\cdot\right\Vert$ 是 $l_{2}$ 归一化。为了最小化增强图像的负余弦相似度,一个不希望的平凡解是所有输出“坍缩”为一个常数。遵循 SimSiam [5],我们使用停止梯度操作来防止坍缩。SimSiam 的损失函数定义为:

this means that $h_{l}$ and $h_{g}$ are treated as a constant.
这意味着 $h_{l}$ 和 $h_{g}$ 被视为常数。
Supervised Learning Branch. After constructing the global and local augmented data pair $(\tilde{x}{g};\tilde{p}{g})$ and $(\tilde{x}{l};\tilde{p}{l})$ , we calculate the mixed-label cross-entropy loss:
监督学习分支。在构建全局和局部增强数据对 $(\tilde{x}{g};\tilde{p}{g})$ 和 $(\tilde{x}{l};\tilde{p}{l})$ 后,我们计算混合标签的交叉熵损失:

where $N$ denote the sampling batch size and $f(\cdot)$ denote predicted probability of $\tilde{x}$ . Note that a batch of images is augmented into a global and local mixture so that the actual batch size will be twice the sampling size.
其中 $N$ 表示采样批量大小,$f(\cdot)$ 表示 $\tilde{x}$ 的预测概率。需要注意的是,一批图像会被增强为全局和局部混合,因此实际批量大小将是采样大小的两倍。
3.3. Cumulative Class-Balanced Learning
3.3. 累积类平衡学习
Class-Balanced learning. The design principle of class re weighting is to introduce a weighting factor inversely proportional to the label frequency and then strengthen the learning of the minority class. Following [44], the weighting factor $w_{i}$ is define as:
类别平衡学习。类别重新加权的设计原则是引入一个与标签频率成反比的加权因子,然后加强对少数类别的学习。根据 [44],加权因子 $w_{i}$ 定义为:

where $r_{i}$ is the i-th class frequencies of the training dataset, and $k$ is a hyper-parameter to scale the gap between the head and tail classes. Note that $k=0$ corresponds to no reweighting and $k=1$ corresponds to class-balanced method [9]. We change the scalar weights to the one-hot vectors form and mix the weight vectors of the two images:
其中 $r_{i}$ 是训练数据集中第 i 类的频率,$k$ 是一个超参数,用于缩放头部和尾部类别之间的差距。注意,$k=0$ 对应于不进行重新加权,$k=1$ 对应于类别平衡方法 [9]。我们将标量权重转换为 one-hot 向量形式,并混合两张图像的权重向量:

Formally, given a train dataset $D={(x_{i},y_{i},w_{i})}_{i=1}^{N}$ , the rebalanced loss can be written as:
给定训练数据集 $D={(x_{i},y_{i},w_{i})}_{i=1}^{N}$,重新平衡后的损失可以表示为:

Table 1. Top-1 accuracy $(%)$ of ResNet-32 on CIFAR-10-LT and CIFAR-100-LT with different imbalance factors [100, 50, 10]. GLMC consistently outperformed the previous best method only in the one-stage.
表 1. ResNet-32 在 CIFAR-10-LT 和 CIFAR-100-LT 上不同不平衡因子 [100, 50, 10] 的 Top-1 准确率 $(%)$。GLMC 在一阶段训练中始终优于之前的最佳方法。
| 方法 | CIFAR-10-LT | CIFAR-100-LT | |||||
|---|---|---|---|---|---|---|---|
| IF=100 | 50 | 10 | 100 | 50 | 10 | ||
| CE | 70.4 | 74.8 | 86.4 | 38.3 | 43.9 | 55.7 | |
| 重平衡分类器 | BBN [45] | 79.82 | 82.18 | 88.32 | 42.56 | 47.02 | 59.12 |
| CB-Focal [9] | 74.6 | 79.3 | 87.1 | 39.6 | 45.2 | 58 | |
| LogitAjust [29] | 80.92 | 42.01 | 47.03 | 57.74 | |||
| weight balancing [1] | 53.35 | 57.71 | 68.67 | ||||
| 数据增强 | Mixup [42] | 73.06 | 77.82 | 87.1 | 39.54 | 54.99 | 58.02 |
| RISDA [6] | 79.89 | 79.89 | 79.89 | 50.16 | 53.84 | 62.38 | |
| CMO [32] | 47.2 | 51.7 | 58.4 | ||||
| 自监督预训练 | KCL [18] | 77.6 | 81.7 | 88 | 42.8 | 46.3 | 57.6 |
| TSC [25] | 79.7 | 82.9 | 88.7 | 42.8 | 46.3 | 57.6 | |
| BCL [47] | 84.32 | 87.24 | 91.12 | 51.93 | 56.59 | 64.87 | |
| PaCo [8] | 52 | 56 | 64.2 | ||||
| SSD [26] | 46 | 50.5 | 62.3 | ||||
| 集成分类器 | RIDE (3 experts) + CMO [32] | 50 | 53 | 60.2 | |||
| RIDE (3 experts) [37] | 48.6 | 51.4 | 59.8 | ||||
| 一阶段训练 | 我们的方法 | 87.75 | 90.18 | 94.04 | 55.88 | 61.08 | 70.74 |
| 微调分类器 | 我们的方法 + MaxNorm [1] | 87.57 | 90.22 | 94.03 | 57.11 | 62.32 | 72.33 |
where $f(\tilde{x})$ and $\tilde{w}$ denote predicted probability and weighting factor of mixed image $\tilde{x}$ , respectively. Note that the global and local mixed image have the same mixed weights.
其中 $f(\tilde{x})$ 和 $\tilde{w}$ 分别表示混合图像 $\tilde{x}$ 的预测概率和权重因子。需要注意的是,全局和局部混合图像具有相同的混合权重。
Cumulative Class-Balanced Learning. As illustrated in Fig.2, we use the bilateral branches structure to learn the rebalance branch adaptively. But unlike BBN [45], our cumulative learning strategy is imposed on the loss function instead of the fully connected layer weights and uses re weighting instead of resampling for learning. Concretely, the loss $\mathcal{L}{c}$ of the unweighted classification branch is multiplied by $\alpha$ , and the rebalanced loss $\mathcal{L}{c b}$ is multiplied by $1-\alpha$ . $\alpha$ automatically decreases as the current training epochs $T$ increase:
累积类别平衡学习。如图2所示,我们使用双边分支结构来自适应地学习重平衡分支。但与BBN [45]不同,我们的累积学习策略是施加在损失函数上,而不是全连接层权重上,并且使用重加权而不是重采样进行学习。具体来说,未加权的分类分支的损失 $\mathcal{L}{c}$ 乘以 $\alpha$,而重平衡损失 $\mathcal{L}{c b}$ 乘以 $1-\alpha$。$\alpha$ 随着当前训练轮次 $T$ 的增加而自动减小:

where $T_{m a x}$ is the maximum training epoch.
其中 $T_{m a x}$ 是最大训练周期。
Finally, the total loss is defined as a combination of loss $L_{s u p},L_{c b}$ , and $L_{s i m}$ :
最后,总损失定义为损失 $L_{s u p},L_{c b}$ 和 $L_{s i m}$ 的组合:

where $\gamma$ is a hyper parameter that controls $L_{s i m}$ loss. The default value is 10.
其中 $\gamma$ 是一个控制 $L_{s i m}$ 损失的超参数,默认值为 10。
3.4. Finetuning Classifier Weights
3.4. 微调分类器权重
[1] investigate that the classifier weights would be heavily biased toward the head classes when faced with longtail data. Therefore, we optionally use MaxNorm [1, 16]
[1] 研究了当面对长尾数据时,分类器权重会严重偏向头部类别。因此,我们选择性地使用了 MaxNorm [1, 16]。
to finetune the classifier in the second stage. Specifically, MaxNorm restricts weight norms within a ball of radius $\delta$ :
在第二阶段微调分类器。具体来说,MaxNorm 将权重范数限制在半径为 $\delta$ 的球内:

this can be solved by applying projected gradient descent (PGD). For each epoch (or iteration), PGD first computes an updated $\theta_{k}$ and then projects it onto the norm ball:
这可以通过应用投影梯度下降 (Projected Gradient Descent, PGD) 来解决。对于每个周期(或迭代),PGD 首先计算更新后的 $\theta_{k}$,然后将其投影到范数球上:

4. Experiments
4. 实验
In this section, we evaluate the proposed GLMC on three widely used long-tailed benchmarks: CIFAR-10-LT, CIFAR-100-LT, and ImageNet-LT. We also conduct a series of ablation studies to assess each component of GLMC’s importance fully.
在本节中,我们在三个广泛使用的长尾基准数据集上评估了所提出的 GLMC:CIFAR-10-LT、CIFAR-100-LT 和 ImageNet-LT。我们还进行了一系列消融实验,以全面评估 GLMC 各组件的重要性。
4.1. Experiment setup
4.1. 实验设置
Datasets. Following [40], we modify the balanced CIFAR10, CIFAR100, and ImageNet-2012 dataset to the uneven setting (named CIFAR10-LT, CIFAR100-LT, and ImageNet-LT) by utilizing the exponential decay function $n=n_{i}\mu^{i}$ , where $i$ is the class index (0-indexed), $n_{i}$ is the original number of training images and $\mu\in(0,1)$ . The imbalanced factor $\beta$ is defined by $\beta=N_{m a x}/N_{m i n}$ , which reflects the degree of imbalance in the data. CIFAR10- LT and CIFAR100-LT are divided into three types of train datasets, and each dataset has a different imbalance factor [100,50,10]. ImageNet-LT has a 256 imbalance factor. The most frequent class includes 1280 samples, while the least contains only 5.
数据集。根据 [40],我们通过使用指数衰减函数 $n=n_{i}\mu^{i}$ 将平衡的 CIFAR10、CIFAR100 和 ImageNet-2012 数据集修改为不平衡设置(分别命名为 CIFAR10-LT、CIFAR100-LT 和 ImageNet-LT),其中 $i$ 是类别索引(从 0 开始),$n_{i}$ 是原始训练图像数量,$\mu\in(0,1)$。不平衡因子 $\beta$ 定义为 $\beta=N_{m a x}/N_{m i n}$,反映了数据的不平衡程度。CIFAR10-LT 和 CIFAR100-LT 被划分为三种类型的训练数据集,每个数据集具有不同的不平衡因子 [100,50,10]。ImageNet-LT 的不平衡因子为 256。最频繁的类别包含 1280 个样本,而最少的类别仅包含 5 个样本。
Table 2. Top-1 accuracy $(%)$ on ImageNet-LT dataset. Comparison to the state-of-the-art methods with different backbone. $^\dagger$ denotes results reproduced by [47] with 180 epochs.
表 2. ImageNet-LT 数据集上的 Top-1 准确率 $(%)$。与不同骨干网络的最新方法进行比较。$^\dagger$ 表示 [47] 通过 180 个 epoch 复现的结果。
| 方法 | 骨干网络 | ImageNet-LT | |||
|---|---|---|---|---|---|
| Many | Med | Few | All | ||
| CE | ResNet-50 | 64 | 33.8 | 5.8 | 41.6 |
| CB-Focal [9] | ResNet-50 | 39.6 | 32.7 | 16.8 | 33.2 |
| LDAM [3] | ResNet-50 | 60.4 | 46.9 | 30.7 | 49.8 |
| KCL [18] | ResNet-50 | 61.8 | 49.4 | 30.9 | 51.5 |
| TSC [25] | ResNet-50 | 63.5 | 49.7 | 30.4 | 52.4 |
| RISDA [6] | ResNet-50 | 49.3 | |||
| BCL (90 epochs) [47] | ResNeXt-50 | 67.2 | 53.9 | 36.5 | 56.7 |
| BCL (180 epochs) [47] | ResNeXt-50 | 67.9 | 54.2 | 36.6 | 57.1 |
| PaCot (180 epochs) [8] | ResNeXt-50 | 64.4 | 55.7 | 33.7 | 56.0 |
| Balanced Softmax (180 epochs) [34] | ResNeXt-50 | 65.8 | 53.2 | 34.1 | 55.4 |
| SSD [26] | ResNeXt-50 | 66.8 | 53.1 | 35.4 | 56 |
| RIDE (3 experts) + CMO [32] | ResNet-50 | 66.4 | 53.9 | 35.6 | 56.2 |
| RIDE (3 experts) [37] | Swin-S | 66.9 | 52.8 | 37.4 | 56 |
| weight balancing + MaxNorm [1] | ResNeXt-50 | 62.5 | 50.4 | 41.5 | 53.9 |
| ours | 70.1 | 52.4 | 30.4 | 56.3 | |
| ours + MaxNorm [1] | ResNeXt-50 | 60.8 | 55.9 | 45.5 | 56.7 |
| ours + BS [34] | 64.76 | 55.67 | 42.19 | 57.21 |
Network architectures. For a fair comparison with recent works, we follow [1, 8, 47] to use ResNet-32 [15] on CIFAR10-LT and CIFAR100-LT, ResNet-50 [15] and $\mathrm{ResNeXt}.50.32\mathrm{x}4\mathrm{d}$ [38] on ImageNet-LT. The main ablation experiment was performed using ResNet-32 on the CIFAR100 dataset.
网络架构。为了与近期工作进行公平比较,我们遵循 [1, 8, 47] 在 CIFAR10-LT 和 CIFAR100-LT 上使用 ResNet-32 [15],在 ImageNet-LT 上使用 ResNet-50 [15] 和 $\mathrm{ResNeXt}.50.32\mathrm{x}4\mathrm{d}$ [38]。主要的消融实验是在 CIFAR100 数据集上使用 ResNet-32 进行的。
Evaluation protocol. For each dataset, we train them on the imbalanced training set and evaluate them in the balanced validation/test set. Following [1, 28], we further report accuracy on three splits of classes, Many-shot classes (training samples $>100$ ), Medium-shot (training samples $20\sim100\$ ) and Few-shot (training samples $\leq20$ ), to compre hens iv ely evaluate our model.
评估协议。对于每个数据集,我们在不平衡的训练集上进行训练,并在平衡的验证/测试集上进行评估。根据 [1, 28],我们进一步报告了三个类别划分的准确率:多样本类别(训练样本 $>100$)、中样本类别(训练样本 $20\sim100$)和少样本类别(训练样本 $\leq20$),以全面评估我们的模型。
Implementation. We train our models using the PyTorch toolbox [33] on GeForce RTX 3090 GPUs. All models are implemented by the SGD optimizer with a momen- tum of 0.9 and gradually decay learning rate with a cosine annealing scheduler, and the batch size is 128. For CIFAR10-LT and CIFAR100-LT, the initial learning rate is 0.01, and the weight decay rate is 5e-3. For ImageNet-LT, the initial learning rate is 0.1, and the weight decay rate is 2e-4. We also use random horizontal flipping and cropping as simple augmentation.
实现。我们使用 PyTorch 工具箱 [33] 在 GeForce RTX 3090 GPU 上训练模型。所有模型均通过 SGD 优化器实现,动量为 0.9,并使用余弦退火调度器逐渐衰减学习率,批量大小为 128。对于 CIFAR10-LT 和 CIFAR100-LT,初始学习率为 0.01,权重衰减率为 5e-3。对于 ImageNet-LT,初始学习率为 0.1,权重衰减率为 2e-4。我们还使用随机水平翻转和裁剪作为简单的数据增强。
4.2. Long-tailed Benchmark Results
4.2. 长尾基准测试结果
Compared Methods. Since the field of LTR is developing rapidly and has many branches, we choose recently published representative methods of different types for comparison. For example, SSD [26], PaCo [8], KCL [18], BCL [47], and TSC [25] use contrastive learning or selfsupervised methods to train balanced representations. RIDE [37] combines multiple experts for prediction; RISDA [6] and CMO [32] apply strong data augmentation techniques to improve robustness; Weight Balancing [1] is a typical two-stage training method.
对比方法。由于 LTR 领域发展迅速且分支众多,我们选择了最近发表的不同类型的代表性方法进行比较。例如,SSD [26]、PaCo [8]、KCL [18]、BCL [47] 和 TSC [25] 使用对比学习或自监督方法来训练平衡表示。RIDE [37] 结合多个专家进行预测;RISDA [6] 和 CMO [32] 应用强大的数据增强技术来提高鲁棒性;Weight Balancing [1] 是一种典型的两阶段训练方法。
Table 3. Top-1 accuracy $(%)$ on full ImageNet dataset with ResNet-50 backbone.
表 3. 使用 ResNet-50 骨干网络在完整 ImageNet 数据集上的 Top-1 准确率 $(%)$。
| 方法 | 数据增强 | Top-1 准确率 |
|---|---|---|
| vanilla | Simple Augment | 76.4 |
| vanilla | MixUp [42] | 77.9 |
| vanilla | CutMix [41] | 78.6 |
| Supcon [21] | RandAugment | 78.4 |
| PaCo [8] | Simple Augment | 78.7 |
| PaCo [8] | RandAugment | 79.3 |
| ours | MixUp+CutMix | 80.2 |
Results on CIFAR10-LT and CIFAR100-LT. We conduct extensive experiments to compare GLMC with state-ofthe-art baselines on long-tailed CIFAR10 and CIFAR100 datasets by setting three imbalanced ratios: 10, 50, and 100. Table 1 reports the Top-1 accuracy of various methods on CIFAR-10-LT and CIFAR-100-LT. We can see that our GLMC consistently achieves the best results on all datasets, whether using one-stage training or a two-stage finetune classifier. For example, on CIFAR100-LT $(\mathrm{IF}{=}100)\$ ), Our method achieves $55.88%$ in the first stage, outperforming
CIFAR10-LT 和 CIFAR100-LT 上的结果。我们通过设置三个不平衡比率(10、50 和 100)在长尾 CIFAR10 和 CIFAR100 数据集上进行了广泛的实验,以比较 GLMC 与最先进的基线方法。表 1 报告了各种方法在 CIFAR-10-LT 和 CIFAR-100-LT 上的 Top-1 准确率。我们可以看到,无论是在使用一阶段训练还是两阶段微调分类器的情况下,我们的 GLMC 在所有数据集上都始终取得了最佳结果。例如,在 CIFAR100-LT $(\mathrm{IF}{=}100)\$ 上,我们的方法在第一阶段达到了 $55.88%$,优于其他方法。
Algorithm 1 Learning algorithm of our proposed GLMC
算法 1 我们提出的 GLMC 学习算法
Input: Training Dataset $D={(x_{i},y_{i},w_{i})}_{i=1}^{N}$
输入:训练数据集 $D={(x_{i},y_{i},w_{i})}_{i=1}^{N}$
Parameter: $E n c o d e r(\cdot)$ denotes feature extractor; $p r o j(\cdot)$ and $p r e d(\cdot)$ denote projection and predictor; $c(\cdot)$ and $c b(\cdot)$ denote convention classifier and rebalanced classifier; $T_{m a x}$ is the Maximum training epoch; $s g(\cdot)$ denotes stop gradient operation.
参数:$E n c o d e r(\cdot)$ 表示特征提取器;$p r o j(\cdot)$ 和 $p r e d(\cdot)$ 分别表示投影和预测器;$c(\cdot)$ 和 $c b(\cdot)$ 分别表示常规分类器和重新平衡的分类器;$T_{m a x}$ 是最大训练轮数;$s g(\cdot)$ 表示停止梯度操作。
the two-stage weight rebalancing strategy $(53.35%)$ . After finetuning the classifier with MaxNorm, our method achieves $57.11%$ , which accuracy increased by $+3.76%$ compared with the previous SOTA. Compared to contrastive learning families, such as $\mathrm{PaCo}$ and BCL, GLMC surpasses previous SOTA by $+5.11%$ , $+5.73%$ , and $+7.46%$ under imbalance factors of 100, 50, and 10, respectively. In addition, GLMC does not need a large batch size and long training epoch to pretrain the feature extractor, which reduces training skills.
两阶段权重重新平衡策略 $(53.35%)$。在使用 MaxNorm 微调分类器后,我们的方法达到了 $57.11%$,准确率相比之前的 SOTA 提高了 $+3.76%$。与对比学习家族(如 $\mathrm{PaCo}$ 和 BCL)相比,GLMC 在不平衡因子为 100、50 和 10 的情况下,分别超越了之前的 SOTA $+5.11%$、$+5.73%$ 和 $+7.46%$。此外,GLMC 不需要大批次和长训练周期来预训练特征提取器,从而减少了训练技巧的需求。
Results on ImageNet-LT. Table 2 compares GLMC with state-of-the-art baselines on ImageNet-LT dataset. We report the Top-1 accuracy on Many-shot, Medium-shot, and Few-shot groups. As shown in the table, with only onestage training, GLMC significantly improves the performance of the head class by $70.1%$ , and the overall performance reaches $56.3%$ , similar to $\mathrm{PaCo}$ (180 epochs). After finetuning the classifier, the tail class of GLMC can reach $45.5%$ ( $^+$ MaxNorm [1]) and $42.19%$ $(+\mathrm{BS~}$ [34]), which significantly improves the performance of the tail class.
ImageNet-LT 上的结果。表 2 比较了 GLMC 与 ImageNet-LT 数据集上的最先进基线。我们报告了 Many-shot、Medium-shot 和 Few-shot 组的 Top-1 准确率。如表所示,仅通过单阶段训练,GLMC 显著提高了头部类的性能,达到 $70.1%$,整体性能达到 $56.3%$,与 $\mathrm{PaCo}$(180 个 epoch)相当。在对分类器进行微调后,GLMC 的尾部类可以达到 $45.5%$($^+$ MaxNorm [1])和 $42.19%$($+\mathrm{BS~}$ [34]),显著提高了尾部类的性能。
Table 4. Top-1 accuracy $(%)$ on full CIFAR-10 and CIFAR-100 dataset with ResNet-50 backbone.
表 4. 使用 ResNet-50 骨干网络在完整 CIFAR-10 和 CIFAR-100 数据集上的 Top-1 准确率 $(%)$。
| 方法 | CIFAR-10 | CIFAR-100 |
|---|---|---|
| vanilla | 94.85 | 75.28 |
| MixUp [42] | 95.95 | 77.99 |
| CutMix [41] | 95.41 | 78.03 |
| SupCon [21] | 96 | 76.5 |
| PaCo [8] | - | 79.1 |
| ours | 97.23 | 83.05 |
4.3. Full ImageNet and CIFAR Recognition
4.3. 完整的 ImageNet 和 CIFAR 识别
GLMC utilizes a global and local mixture consistency loss as an auxiliary loss in supervised loss to improve the robustness of the model, which can be added to the model as a plug-and-play component. To verify the effectiveness of GLMC under a balanced setting, we conduct experiments on full ImageNet and full CIFAR. They are indicative to compare GLMC with the related state-of-the-art methods (MixUp [42], CutMix [41], PaCo [8], and SupCon [8]). Note that under full ImageNet and CIFAR, we remove the cumulative re weighting and resampling strategies customized for long-tail tasks.
GLMC 利用全局和局部混合一致性损失作为监督损失中的辅助损失,以提高模型的鲁棒性,该损失可以作为即插即用组件添加到模型中。为了验证 GLMC 在平衡设置下的有效性,我们在完整的 ImageNet 和 CIFAR 数据集上进行了实验。这些实验用于将 GLMC 与相关的最先进方法(MixUp [42]、CutMix [41]、PaCo [8] 和 SupCon [8])进行比较。需要注意的是,在完整的 ImageNet 和 CIFAR 数据集上,我们移除了为长尾任务定制的累积重加权和重采样策略。
Results on Full CIFAR-10 and CIFAR-100. For CIFAR10 and CIFAR-100 implementation, following PaCo and SupCon, we use ResNet-50 as the backbone. As shown in Table 4, on CIFAR-100, GLMC achieves $83.05%$ Top1 accuracy, which outperforms PaCo by $3.95%$ . Furthermore, GLMC exceeds the vanilla cross entropy method by $2.13%$ and $7.77%$ on CIFAR-10 and CIFAR-100, respectively, which can significantly improve the performance of the base model.
完整 CIFAR-10 和 CIFAR-100 上的结果。对于 CIFAR-10 和 CIFAR-100 的实现,我们遵循 PaCo 和 SupCon,使用 ResNet-50 作为骨干网络。如表 4 所示,在 CIFAR-100 上,GLMC 实现了 $83.05%$ 的 Top1 准确率,比 PaCo 高出 $3.95%$。此外,GLMC 在 CIFAR-10 和 CIFAR-100 上分别比普通的交叉熵方法高出 $2.13%$ 和 $7.77%$,显著提升了基础模型的性能。
Results on Full ImageNet. In the implementation, we transfer hyper parameters of GLMC on ImageNet-LT to full ImageNet without modification. The experimental results are summarized in Table 3. Our model achieves $80.2%$ Top-1 accuracy, outperforming $\mathrm{PaCo}$ and SupCon by $+0.9%$ and $+1.8%$ , respectively. Compared to the positive/negative contrastive model (PaCo and SupCon). GLMC does not need to construct negative samples, which can effectively reduce memory usage during training.
完整ImageNet上的结果。在实现中,我们将GLMC在ImageNet-LT上的超参数直接迁移到完整ImageNet上,未作修改。实验结果总结在表3中。我们的模型达到了80.2%的Top-1准确率,分别比PaCo和SupCon高出+0.9%和+1.8%。与正/负对比模型(PaCo和SupCon)相比,GLMC不需要构建负样本,这可以有效减少训练期间的内存使用。
4.4. Ablation Study
4.4. 消融研究
To further analyze the proposed GLMC, we perform several ablation studies to evaluate the contribution of each component more comprehensively. All experiments are performed on CIFAR-100 with an imbalance factor of 100.
为了进一步分析所提出的 GLMC,我们进行了多项消融研究,以更全面地评估每个组件的贡献。所有实验均在 CIFAR-100 上进行,不平衡因子为 100。

Figure 3. Confusion matrices of different label re weighting and resample coefficient $k$ on CIFAR-100-LT with an imbalance ratio of 100.
图 3: 不同标签重加权和重采样系数 $k$ 在 CIFAR-100-LT 数据集上的混淆矩阵,不平衡比为 100。
The effect of rebalancing intensity. As analyzed in Sec. 3.3, we mitigate head classes bias problems by re weighting labels and sampling weights by inverting the class sampling frequency. See Fig.3, we set different re weighting and resampling coefficients to explore the influence of the rebalancing strategy of GLMC on long tail recognition. One can see very characteristic patterns: the best results are clustered in the upper left, while the worst are in the lower right. It indicates that the class resampling weight is a very sensitive hyper parameter in the first-stage training. Large resampling weight may lead to model performance degradation, so it should be set to less than 0.4 in general. And label reweighting improves long tail recognition significantly and can be set to 1.0 by default.
再平衡强度的影响。如第3.3节所述,我们通过反转类别采样频率来重新加权标签和采样权重,从而缓解头部类别偏差问题。参见图3,我们设置了不同的重新加权和重采样系数,以探索GLMC的再平衡策略对长尾识别的影响。可以看到非常典型的模式:最佳结果集中在左上角,而最差结果集中在右下角。这表明类别重采样权重在第一阶段训练中是一个非常敏感的超参数。较大的重采样权重可能导致模型性能下降,因此通常应设置为小于0.4。而标签重新加权显著改善了长尾识别效果,默认情况下可以设置为1.0。
The effect of mixture consistency weight $\gamma$ . We investigate the influence of the mixture consistency weight $\gamma$ on the CIFAR100-LT $(\mathrm{IF}{=}100)$ ) and plot the accuracy-weight curve in Fig.4. It is evident that adjusting $\gamma$ is able to achieve significant performance improvement. Compared with the without mixture consistency $(\gamma{=}0)$ , the best setting $(\gamma=10)$ can improve the performance by $+2.41%$ .
混合一致性权重 $\gamma$ 的影响。我们研究了混合一致性权重 $\gamma$ 对 CIFAR100-LT $(\mathrm{IF}{=}100)$ 的影响,并在图 4 中绘制了准确率-权重曲线。显然,调整 $\gamma$ 能够显著提升性能。与不使用混合一致性 $(\gamma{=}0)$ 相比,最佳设置 $(\gamma=10)$ 可以将性能提升 $+2.41%$。
The effect of each component. GLMC contains two essential components:(1) Global and Local Mixture Consistency Learning and (2) Cumulative Class-Balanced re weighting. Table 5 summarizes the ablation results of GLMC on CIFAR100-LT with an imbalance factor of 100. Note that both settings are crossed to indicate using a standard crossentropy training model. We can see that both components significantly improve the baseline method. Analyzing each element individually, Global and Local Mixture Consistency Learning is crucial, which improves performance by an average of $11.81%$ $38.3%\rightarrow50.11%$ ).
各组件的影响。GLMC 包含两个关键组件:(1) 全局与局部混合一致性学习 (Global and Local Mixture Consistency Learning) 和 (2) 累积类平衡重加权 (Cumulative Class-Balanced Reweighting)。表 5 总结了 GLMC 在 CIFAR100-LT 数据集上(不平衡因子为 100)的消融实验结果。注意,两种设置交叉表示使用标准的交叉熵训练模型。我们可以看到,这两个组件都显著提升了基线方法的效果。单独分析每个组件,全局与局部混合一致性学习至关重要,它将性能平均提升了 $11.81%$(从 $38.3%\rightarrow50.11%$)。

Figure 4. Different global and local mixture consistency weights on CIFAR-100-LT $(\mathrm{IF}=100)$ ) .
图 4: CIFAR-100-LT $(\mathrm{IF}=100)$ 上不同全局和局部混合一致性权重的影响。
Table 5. Ablations of the different key components of GLMC architecture. We report the accuracies $(%)$ on CIFAR100-LT $(\mathrm{IF}{=}100)$ with ResNet-32 backbone. Note that all model use onestage training.
表 5. GLMC 架构中不同关键组件的消融实验。我们报告了在 CIFAR100-LT (IF=100) 上使用 ResNet-32 骨干网络的准确率 (%)。注意,所有模型都使用单阶段训练。
| 全局和局部混合一致性 | 累积类平衡 | 准确率 (%) |
|---|---|---|
| X | × | 38.3 |
| × | √ | 44.63 |
| √ | × | 50.11 |
| √ | √ | 55.88 |
5. Conclusion
5. 结论
In this paper, we have proposed a simple learning paradigm called Global and Local Mixture Consistency cumulative learning (GLMC). It contains a global and local mixture consistency loss to improve the robustness of the feature extractor, and a cumulative head-tail soft label reweighted loss mitigates the head class bias problem. Extensive experiments show that our approach can significantly improve performance on balanced and long-tailed visual recognition tasks.
在本文中,我们提出了一种称为全局和局部混合一致性累积学习 (Global and Local Mixture Consistency cumulative learning, GLMC) 的简单学习范式。它包含一个全局和局部混合一致性损失,以提高特征提取器的鲁棒性,同时通过累积头尾软标签重加权损失来缓解头类偏差问题。大量实验表明,我们的方法可以显著提高平衡和长尾视觉识别任务的性能。
Acknowledgements. The authors would like to acknowledge the financial support provided by the Natural Science Foundation of China (NSFC) under Grant: No.61876166, Yunnan Basic Research Program for Distinguished Young Youths Project under Grant: 202101 AV 070003, and Yunnan Basic Research Program under Grant: 202201AS070131.
致谢。作者感谢国家自然科学基金 (NSFC) 资助项目 (No.61876166)、云南省杰出青年基础研究计划项目 (202101 AV 070003) 以及云南省基础研究计划项目 (202201AS070131) 提供的资金支持。
