HyperML: A Boosting Metric Learning Approach in Hyperbolic Space for Recommend er Systems
HyperML: 推荐系统中双曲空间的度量学习增强方法
ABSTRACT
摘要
This paper investigates the notion of learning user and item represent at ions in non-Euclidean space. Specifically, we study the connection between metric learning in hyperbolic space and collaborative filtering by exploring Möbius gyrovector spaces where the formalism of the spaces could be utilized to generalize the most common Euclidean vector operations. Overall, this work aims to bridge the gap between Euclidean and hyperbolic geometry in recommend er systems through metric learning approach. We propose HyperML (Hyperbolic Metric Learning), a conceptually simple but highly effective model for boosting the performance. Via a series of extensive experiments, we show that our proposed HyperML not only outperforms their Euclidean counterparts, but also achieves state-of-the-art performance on multiple benchmark datasets, demonstrating the effectiveness of personalized recommendation in hyperbolic geometry.
本文研究了在非欧几里得空间中学习用户和物品表示的概念。具体而言,我们通过探索Möbius陀螺向量空间,研究了双曲空间中的度量学习与协同过滤之间的联系,该空间的形式体系可用于推广最常见的欧几里得向量运算。总体而言,这项工作旨在通过度量学习方法弥合推荐系统中欧几里得几何与双曲几何之间的差距。我们提出了HyperML(双曲度量学习),这是一个概念简单但非常有效的性能提升模型。通过一系列广泛的实验,我们表明所提出的HyperML不仅优于欧几里得对应方法,还在多个基准数据集上实现了最先进的性能,证明了双曲几何中个性化推荐的有效性。
CCS CONCEPTS
KEYWORDS
关键词
Recommend er Systems; Collaborative Filtering; Hyperbolic Neural Networks
推荐系统;协同过滤;双曲神经网络
ACM Reference Format:
ACM 参考文献格式:
Lucas Vinh Tran, Yi Tay, Shuai Zhang, Gao Cong, and Xiaoli Li. 2020. HyperML: A Boosting Metric Learning Approach in Hyperbolic Space for Recommend er Systems. In The Thirteenth ACM International Conference on Web Search and Data Mining (WSDM’20), February 3–7, 2020, Houston, TX,
Lucas Vinh Tran、Yi Tay、Shuai Zhang、Gao Cong 和 Xiaoli Li。2020. HyperML:双曲空间中用于推荐系统的度量学习增强方法。见:第十三届 ACM 国际网络搜索与数据挖掘会议 (WSDM'20),2020 年 2 月 3-7 日,美国德克萨斯州休斯顿。
USA. ACM, New York, NY, USA, 9 pages. https://doi.org/10.1145/3336191. 3371850
美国。ACM,纽约,纽约州,美国,9页。https://doi.org/10.1145/3336191.3371850
1 INTRODUCTION
1 引言
A diverse plethora of machine learning models solves the personalized ranking problem in recommend er systems via building matching functions [17, 26, 30, 31]. Across the literature, a variety of matching functions have been traditionally adopted, such as inner product [31], metric learning [19, 33] and/or neural networks [16, 17]. Among those approaches, metric learning models (e.g., Collaborative Metric Learning (CML) [19] and Latent Relational Metric Learning (LRML) [33]) are primarily focused on designing distance functions over objects (i.e., between users and items), demonstrating reasonable empirical success for collaborative ranking with implicit feedback. Nevertheless, those matching functions only covered the scope of Euclidean space.
多种多样的机器学习模型通过构建匹配函数来解决推荐系统中的个性化排序问题[17,26,30,31]。纵观现有文献,传统上采用了多种匹配函数,例如内积[31]、度量学习[19,33]和/或神经网络[16,17]。在这些方法中,度量学习模型(如协同度量学习(Collaborative Metric Learning, CML)[19]和潜在关系度量学习(Latent Relational Metric Learning, LRML)[33])主要专注于设计对象(即用户与物品之间)的距离函数,在隐式反馈的协同排序中展现了合理的实证效果。然而,这些匹配函数仅覆盖了欧几里得空间的范围。
For the first time, our work explores the notion of learning useritem representations in terms of metric learning in hyperbolic space, in which hyperbolic representation learning has recently demonstrated great potential across a diverse range of applications such as learning entity hierarchies [27] and/or natural language processing [8, 34]. Due to the exponentially expansion property of hyperbolic space, we discovered that metric learning with the pull-push mechanism in hyperbolic space could boost the performance significantly: moving a point to a certain distance will require a much smaller force in hyperbolic space than in Euclidean space. To this end, in order to perform metric learning in hyperbolic space, we employ Möbius gyrovector spaces to generally formalize most common Euclidean operations such as addition, multiplication, exponential map and logarithmic map [11, 38].
我们的工作首次探索了在双曲空间中通过度量学习来学习用户-物品表示的概念,其中双曲表示学习最近在多种应用中展现出巨大潜力,例如学习实体层次结构 [27] 和/或自然语言处理 [8, 34]。由于双曲空间的指数扩展特性,我们发现利用双曲空间中的推拉机制进行度量学习可以显著提升性能:在双曲空间中移动一个点到特定距离所需的力远小于欧几里得空间。为此,为了在双曲空间中进行度量学习,我们采用Möbius陀螺向量空间来形式化大多数常见的欧几里得操作,例如加法、乘法、指数映射和对数映射 [11, 38]。
Moreover, the ultimate goal when embedding a space into another is to preserve distances and more complex relationships. Thus, our work also introduces the definition of distortion to maintain good representations in hyperbolic space both locally and globally, while controlling the performance through the multi-task learning framework. This reinforces the key idea of modeling user-item pairs in hyperbolic space, while maintaining the simplicity and effectiveness of the metric learning paradigm.
此外,将空间嵌入另一空间的终极目标是保持距离及更复杂的关系。因此,我们的工作还引入了失真(distortion)的定义,以在双曲空间中同时保持局部和全局的良好表征,并通过多任务学习框架控制性能。这强化了在双曲空间中建模用户-物品对的核心思想,同时保持了度量学习范式的简洁性与有效性。
We show that a conceptually simple hyperbolic adaptation in terms of metric learning is capable of not only achieving very competitive results, but also outperforming recent advanced Euclidean metric learning models on multiple personalized ranking benchmarks.
我们证明,在度量学习方面采用概念简单的双曲适应方法,不仅能够取得极具竞争力的结果,还在多个个性化排序基准上超越了近期先进的欧几里得度量学习模型。
Our Contributions. The key contributions of our work are summarized as follows:
我们的贡献。我们工作的主要贡献总结如下:
2 HYPERBOLIC METRIC LEARNING
2 双曲度量学习
This section provides the overall background and outlines the formulation of our proposed model. The key motivation behind our proposed model is to embed the two user-item pairs into hyperbolic space, creating the gradients of pulling the distance between the positive user-item pair close and pushing the negative user-item pair away.
本节概述了整体背景并阐述了我们提出模型的构建思路。该模型的核心动机是将用户-物品对嵌入双曲空间,通过梯度变化拉近正样本用户-物品对的距离,同时推离负样本用户-物品对。
Figure 1 depicts our overall proposed HyperML model. The figures illustrate our two approaches: 1) optimizing the embeddings within the unit ball and 2) transferring the points to the tangent space via the exponential and logarithmic maps for optimization. In the experiments, we also compare the mentioned variants of HyperML where both approaches achieve competitive results compared to Euclidean metric learning models.
图1展示了我们提出的HyperML模型整体架构。图中说明了我们的两种方法:1) 在单位球内优化嵌入向量,2) 通过指数和对数映射将点转换到切空间进行优化。在实验中,我们还比较了HyperML的不同变体,这两种方法相比欧几里得度量学习模型都取得了具有竞争力的结果。
2.1 Hyperbolic Geometry & Poincaré Embeddings
2.1 双曲几何与庞加莱嵌入
The hyperbolic space $\mathbb{D}$ is uniquely defined as a complete and simply connected Riemannian manifold with constant negative curvature [24]. In fact, there are three types of the Riemannian manifolds of constant curvature, which are Euclidean geometry (constant vanishing sectional curvature), spherical geometry (constant positive sectional curvature) and hyperbolic geometry (constant negative sectional curvature). In this paper, we focus on Euclidean space and hyperbolic space due to the key difference in their space expansion. Indeed, hyperbolic spaces expand faster (exponentially) than Euclidean spaces (polynomial ly). Specifically, for instance, in the two-dimensional hyperbolic space $\mathbb{D}_{\epsilon}^{2}$ of constant curvature
双曲空间 $\mathbb{D}$ 被唯一定义为具有恒定负曲率的完备单连通黎曼流形 [24]。实际上,存在三种类型的恒定曲率黎曼流形,分别是欧几里得几何(恒定零截面曲率)、球面几何(恒定正截面曲率)和双曲几何(恒定负截面曲率)。本文重点关注欧几里得空间和双曲空间,因为它们在空间扩展方面存在关键差异。事实上,双曲空间的扩展速度(指数级)快于欧几里得空间(多项式级)。具体而言,例如在恒定曲率的二维双曲空间 $\mathbb{D}_{\epsilon}^{2}$ 中
$K=-\epsilon^{2}<0$ , $\epsilon>0$ with the hyperbolic radius of $r$ , we have:
$K=-\epsilon^{2}<0$,$\epsilon>0$,双曲半径为$r$,则有:

in which $L(r)$ is the length of the circle and $A(r)$ is the area of the disk. Hence, both equations illustrate the exponentially expansion of the hyperbolic space $\mathbb{H}_{\epsilon}^{2}$ with respect to the radius $r$ .
其中 $L(r)$ 是圆的周长,$A(r)$ 是圆盘的面积。因此,这两个方程都说明了双曲空间 $\mathbb{H}_{\epsilon}^{2}$ 相对于半径 $r$ 的指数级扩张。
Although hyperbolic space cannot be iso metrically embedded into Euclidean space, there exists multiple models of hyperbolic geometry that can be formulated as a subset of Euclidean space and are very insightful to work with, depending on different tasks. In this work, we prefer the Poincaré ball model due to its con formality (i.e., angles are preserved between hyperbolic and Euclidean space) and convenient parameter iz ation [27].
虽然双曲空间无法等距嵌入欧几里得空间,但根据不同的任务需求,存在多种双曲几何模型可以表述为欧几里得空间的子集,且具有很高的实用价值。本文基于Poincaré圆盘模型的共形性 (即双曲空间与欧几里得空间的角度保持不变) 和便捷的参数化特性 [27],优先采用该模型。
The Poincaré ball model is the Riemannian manifold $\begin{array}{r l}{\mathcal{P}^{n}}&{{}=}\end{array}$ $(\mathbb{D}^{n},g_{\mathcal{P}})$ , in which $\mathbb{D}^{n}={{\bf x}\in\mathbb{R}^{n}:|{\bf x}|<1}$ is the open $n$ - dimensional unit ball that is equipped with the metric:
Poincaré 球模型是黎曼流形 $\begin{array}{r l}{\mathcal{P}^{n}}&{{}=}\end{array}$ $(\mathbb{D}^{n},g_{\mathcal{P}})$,其中 $\mathbb{D}^{n}={{\bf x}\in\mathbb{R}^{n}:|{\bf x}|<1}$ 是开放的 $n$ 维单位球,其度量为:
where $\mathbf{x}\in\mathbb{D}^{n};\parallel\cdot\parallel$ denotes the Euclidean norm; and $g_{e}$ is the Euclidean metric tensor with components ${\mathbf{I}}_{n}$ of $\mathbb{R}^{n}$ .
其中 $\mathbf{x}\in\mathbb{D}^{n};\parallel\cdot\parallel$ 表示欧几里得范数;$g_{e}$ 是欧几里得度量张量,其分量为 $\mathbb{R}^{n}$ 的 ${\mathbf{I}}_{n}$。
The induced distance between two points on $\mathbb{D}^{n}$ is given by:
$\mathbb{D}^{n}$ 上两点间的诱导距离由下式给出:

In fact, if we adopt the hyperbolic distance function as a matching function to model the relationships between users and items, the hyperbolic distance $d_{\mathbb{D}}(\mathbf{u},\mathbf{v})$ between user $u$ and item $\boldsymbol{v}$ could be calculated based on Eqn. (4).
事实上,如果我们采用双曲距离函数作为匹配函数来建模用户与物品的关系,用户 $u$ 与物品 $\boldsymbol{v}$ 之间的双曲距离 $d_{\mathbb{D}}(\mathbf{u},\mathbf{v})$ 可通过公式(4)计算得出。
On a side note, let $\mathbf{v}{j}$ and $\mathbf{v}{k}$ represent the items user $i$ liked and did not like with $d_{\mathbb{D}}(\mathbf{u}{i},\mathbf{v}{j})$ and $d_{\mathbb{D}}(\mathbf{u}{i},\mathbf{v}{k})$ are their distances to the user i on hyperbolic space, respectively. Our goal is to pull $\mathbf{v}{j}$ close to $\mathbf{u}{i}$ while pushing $\mathbf{v}{k}$ away from $\mathbf{u}{i}$ . If we consider the triplet as a tree with two children $\mathbf{v}{j},\mathbf{v}{k}$ of parent $\mathbf{u}{i}$ and place $\mathbf{u}{i}$ relatively close to the origin, the graph distance of $\mathbf{v}{j}$ and $\mathbf{v}{k}$ is obviously calculated as $d(\mathbf{v}{j},\mathbf{v}{k})=d(\mathbf{u}{i},\mathbf{v}{j})+d(\mathbf{u}{i},\mathbf{v}{k}),$ , or we will obtain the ratio $\begin{array}{r}{\frac{d(\mathbf{v}{j},\mathbf{v}{k})}{d(\mathbf{u}{i},\mathbf{v}{j})+d(\mathbf{u}{i},\mathbf{v}{k})}=1.}\end{array}$ $d_{\mathbb{E}}(\mathbf{v}{j},\mathbf{v}{k})$ . If we embed the triplet in Euclidean space, the ratio dE(ui,vj()+dE( )ui,vk ) is constant, which seems not to capture the mentioned graph-like structure. However, in hyperbolic space, the rat io dD(ui,vj()+jdDk( )ui,vk ) approaches 1 as the edges are long enough, which makes the distances nearly preserved [32].
顺便提一下,设 $\mathbf{v}{j}$ 和 $\mathbf{v}{k}$ 分别表示用户 $i$ 喜欢和不喜欢的物品,其中 $d_{\mathbb{D}}(\mathbf{u}{i},\mathbf{v}{j})$ 和 $d_{\mathbb{D}}(\mathbf{u}{i},\mathbf{v}{k})$ 是它们在双曲空间中与用户 $i$ 的距离。我们的目标是将 $\mathbf{v}{j}$ 拉近 $\mathbf{u}{i}$,同时将 $\mathbf{v}{k}$ 推离 $\mathbf{u}{i}$。如果我们将这个三元组视为一棵树,其中 $\mathbf{v}{j},\mathbf{v}{k}$ 是父节点 $\mathbf{u}{i}$ 的两个子节点,并将 $\mathbf{u}{i}$ 放置在相对靠近原点的位置,那么 $\mathbf{v}{j}$ 和 $\mathbf{v}{k}$ 的图距离显然可以计算为 $d(\mathbf{v}{j},\mathbf{v}{k})=d(\mathbf{u}{i},\mathbf{v}{j})+d(\mathbf{u}{i},\mathbf{v}{k}),$,或者我们会得到比值 $\begin{array}{r}{\frac{d(\mathbf{v}{j},\mathbf{v}{k})}{d(\mathbf{u}{i},\mathbf{v}{j})+d(\mathbf{u}{i},\mathbf{v}{k})}=1.}\end{array}$ $d_{\mathbb{E}}(\mathbf{v}{j},\mathbf{v}{k})$。如果我们将这个三元组嵌入欧几里得空间,比值 dE(ui,vj()+dE( )ui,vk ) 是恒定的,这似乎无法捕捉到上述的图状结构。然而,在双曲空间中,当边足够长时,比值 dD(ui,vj()+jdDk( )ui,vk ) 趋近于 1,这使得距离几乎得以保留 [32]。
Thus, it is worth mentioning our key idea is that for a given triplet, we aim to embed the root (the user) arbitrarily close to the origin and space the children (positive and negative items) around a sphere centered at the parent. Notably, the distances between points grows exponentially as the norm of the vectors approaches 1. Geometrically, if we place the root node of a tree at the origin of $\mathbb{D}^{n}$ , the children nodes spread out exponentially with their distances to the root towards the boundary of the ball due to the above mentioned property.
因此,值得强调的是,我们的核心思想是:对于给定的三元组,目标是将根节点(用户)嵌入到尽可能接近原点的位置,并将子节点(正负样本项)均匀分布在以父节点为中心的球面上。值得注意的是,当向量范数趋近于1时,点间距会呈指数级增长。从几何角度看,若将树的根节点置于$\mathbb{D}^{n}$空间原点,由于上述特性,子节点会随着与根节点距离的增大而呈指数级扩散,直至接近球体边界。
2.2 Gyrovector spaces
2.2 陀螺向量空间
In this section, we make use of Möbius gyrovector spaces operations [11] to generally design the distance of user-item pairs for further extension.
在本节中,我们利用Möbius陀螺向量空间运算[11]来通用地设计用户-物品对的距离,以便进一步扩展。
Specifically, for $c\geq0$ , we denote $\mathbb{D}_{c}^{n}=\left{x\in\mathbb{R}^{n}:c|x|^{2}<1\right}$ , which is considered as the open ball of radius $\textstyle{\frac{1}{\sqrt{c}}}$ . Note that if $c=0$ , we get $\mathbb{D}_{c}^{n}=\mathbb{R}^{n}$ ; and if $c=1$ , we retrieve the usual unit ball as $\mathbb{D}_{c}^{n}=\mathbb{D}^{n}$ .
具体地,对于 $c\geq0$ ,我们记 $\mathbb{D}_{c}^{n}=\left{x\in\mathbb{R}^{n}:c|x|^{2}<1\right}$ ,将其视为半径为 $\textstyle{\frac{1}{\sqrt{c}}}$ 的开球。注意当 $c=0$ 时,得到 $\mathbb{D}_{c}^{n}=\mathbb{R}^{n}$ ;当 $c=1$ 时,则恢复通常的单位球 $\mathbb{D}_{c}^{n}=\mathbb{D}^{n}$ 。
Some widely used Möbius operations of gyrovector spaces are introduced as follows:
以下介绍几种陀螺向量空间中广泛使用的莫比乌斯(Möbius)运算:
Möbius addition: The Möbius addition of $x$ and $y$ in $\mathbb{D}_{c}^{n}$ is defined:
莫比乌斯加法:$\mathbb{D}_{c}^{n}$ 中 $x$ 和 $y$ 的莫比乌斯加法定义为:

Möbius scalar multiplication: For $c>0$ , the Möbius scalar multiplication of $x\in\mathbb{D}_{c}^{n}\setminus{\mathbf{0}}$ with $r\in\mathbb{R}$ is defined:
莫比乌斯标量乘法:对于 $c>0$,定义 $x\in\mathbb{D}_{c}^{n}\setminus{\mathbf{0}}$ 与 $r\in\mathbb{R}$ 的莫比乌斯标量乘法为:

and $r\otimes_{c}\mathbf{0}=\mathbf{0}$ . Note that when $c\to0$ , we recover the Euclidean addition and scalar multiplication. The Möbius subtraction can also be obtained as $x\ominus_{c}y=x\oplus_{c}(-y)$ .
且 $r\otimes_{c}\mathbf{0}=\mathbf{0}$。注意当 $c\to0$ 时,我们恢复了欧几里得加法和标量乘法。莫比乌斯减法也可表示为 $x\ominus_{c}y=x\oplus_{c}(-y)$。
Möbius exponential and logarithmic maps: For any $x\in\mathbb{D}_{c}^{n}$ , the Möbius exponential map and logarithmic map, given $\mathbf{\Lambda}\Rightarrow\neq{\textbf{0}}$ and $y\ne x$ , are defined:
Möbius指数和对数映射:对于任意$x\in\mathbb{D}_{c}^{n}$,给定$\mathbf{\Lambda}\Rightarrow\neq{\textbf{0}}$和$y\ne x$,Möbius指数映射和对数映射定义为:

where λcx = 1 c x 2 is the conformal factor of $(\mathbb{D}_{c}^{n},g^{c})$ in which $g^{c}$ is the generalized hyperbolic metric tensor. We also recover the Euclidean exponential map and logarithmic map as $c\to0$ . Readers can refer to [11, 38] for the detailed introduction to Gyrovector spaces.
其中 λcx = 1 c x 2 是 $(\mathbb{D}_{c}^{n},g^{c})$ 的共形因子,其中 $g^{c}$ 是广义双曲度量张量。当 $c\to0$ 时,我们还能还原欧几里得指数映射和对数映射。读者可以参考 [11, 38] 了解陀螺向量空间的详细介绍。
We then obtain the generalized distance in Gyrovector spaces:
然后我们得到陀螺向量空间中的广义距离:

When $c\to0$ , we recover the Euclidean distance since we have $\begin{array}{r}{\operatorname*{lim}{c\rightarrow0}d{c}(x,y)=2|x-y|}\end{array}$ . When $c=1$ , we retrieve the Eqn. (4). In other words, hyperbolic space resembles Euclidean as it gets closer to the origin, which motivates us to design our loss function in the multi-task learning framework.
当 $c\to0$ 时,由于 $\begin{array}{r}{\operatorname*{lim}{c\rightarrow0}d{c}(x,y)=2|x-y|}\end{array}$ ,我们恢复了欧几里得距离。当 $c=1$ 时,我们得到式 (4) 。换句话说,双曲空间在接近原点时与欧几里得空间相似,这促使我们在多任务学习框架中设计损失函数。
2.3 Model Formulation
2.3 模型构建
Our proposed model takes a user (denoted as $\mathbf{u}{i}$ ), a positive (observed) item (denoted as $\mathbf{v}{j}$ ) and a negative (unobserved) item (denoted as $\mathbf{v}_{k}$ ) as an input. Each user and item is represented as a one-hot vector which map onto a dense low-dimensional vector by indexing onto an user/item embedding matrix. We learn these vectors with the generalized distance:
我们提出的模型以用户 (表示为 $\mathbf{u}{i}$ ) 、正样本 (已观测) 项目 (表示为 $\mathbf{v}{j}$ ) 和负样本 (未观测) 项目 (表示为 $\mathbf{v}_{k}$ ) 作为输入。每个用户和项目都表示为一个独热向量 (one-hot vector) ,通过索引用户/项目嵌入矩阵映射到密集的低维向量。我们使用广义距离学习这些向量:

in which an item $j$ that user $i$ liked (positive) is expected to be closer to the user than the ones he did not like (negative).
其中用户 $i$ 喜欢的物品 $j$ (正样本) 应比不喜欢的物品 (负样本) 更接近该用户。
In fact, we would like to learn the user-item joint metric to encode the observed positive feedback. Specifically, the learned metric pulls the positive pairs closer and pushes the other pairs further apart.
事实上,我们希望学习用户-物品联合度量(metric)来编码观察到的正向反馈。具体而言,习得的度量会使正样本对彼此靠近,而使其他样本对相互远离。
Notably, this process will also cluster the users who like the same items together, and the items that are liked by the same users together, due to the triangle inequalities. Similar to [19], for a given user, the nearest neighborhood items are: 1) the items liked by this user previously, and 2) the items liked by other users with similar interests to this user. In other words, we are also able to indirectly observe the relationships between user-user pairs and item-item pairs through the pull-push mechanism of metric learning.
值得注意的是,由于三角不等式的作用,这一过程还会将喜欢相同物品的用户聚集在一起,并将被相同用户喜欢的物品聚集在一起。与[19]类似,对于给定用户,其最近邻物品包括:1) 该用户此前喜欢的物品,以及2) 与该用户兴趣相似的其他用户喜欢的物品。换句话说,我们还能通过度量学习的拉推机制间接观察用户-用户对和物品-物品对之间的关系。
Pull-and-Push Optimization. To formulate such constraint, we define our pull-and-push loss function as:
推拉优化 (Pull-and-Push Optimization) 。为了构建这种约束,我们将推拉损失函数定义为:

where $j$ is an item user $i$ liked and $k$ is the one he did not like; $\mathbb{S}$ contains all the observed implicit feedback, i.e. positive item-user pairs; $[z]_{+}=\operatorname*{max}(0,z)$ is the standard hinge loss; and $m>0$ is the safety margin size. Notably, our loss function does not adopt the ranking loss weight compared to [19].
其中 $j$ 是用户 $i$ 喜欢的物品,$k$ 是他不喜欢的物品;$\mathbb{S}$ 包含所有观察到的隐式反馈,即正物品-用户对;$[z]_{+}=\operatorname*{max}(0,z)$ 是标准的合页损失 (hinge loss);$m>0$ 是安全边际大小。值得注意的是,与[19]相比,我们的损失函数没有采用排序损失权重。
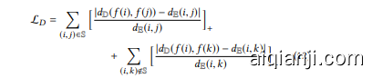
Distortion Optimization. The ultimate goal when embedding a space into another is to preserve distances while maintaining complex structures/relationships [32]. Thus, it becomes a challenge when embedding user-item pairs to hyperbolic space with the needs of preserving good structure quality for metric learning. To this end, we consider the two factors of good representations namely local and global factor. Locally, the children items must be spread out on the sphere around the parent user as described, with pull and push forces created by the gradients. Globally, the learned triplets should be separated reasonably from each other. While pull-andpush optimization satisfies the local requirement, we define the distortion optimization function to meet the global requirement as:
失真优化 (Distortion Optimization) 。将一个空间嵌入另一个空间的终极目标是在保持复杂结构/关系的同时保留距离 [32]。因此,在将用户-物品对嵌入双曲空间时,如何保持良好结构质量以支持度量学习就成为一个挑战。为此,我们考虑良好表征的两个因素:局部因素和全局因素。局部上,子物品必须如所述围绕父用户分布在球面上,并通过梯度产生吸引力和排斥力。全局上,学习到的三元组之间应当合理分离。虽然推拉优化 (pull-and-push optimization) 满足局部要求,但我们定义失真优化函数来满足全局要求如下:

where $|\cdot|$ defines the absolute value; and $f(\cdot)$ is a mapping function $f:\mathbb{E}\rightarrow\mathbb{D}$ from Euclidean space $\mathbb{E}$ to hyperbolic space $\mathbb{D}$ . In this paper, we take $f(\cdot)$ as an identity function.
其中 $|\cdot|$ 定义绝对值;$f(\cdot)$ 是一个映射函数 $f:\mathbb{E}\rightarrow\mathbb{D}$,从欧几里得空间 $\mathbb{E}$ 到双曲空间 $\mathbb{D}$。在本文中,我们将 $f(\cdot)$ 视为恒等函数。
We aim to preserve the distances by minimizing $\mathcal{L}_{D}$ for the global factor. Ideally, the lower the distortion, the better the preservation.
我们旨在通过最小化全局因子 $\mathcal{L}_{D}$ 来保持距离。理想情况下,失真越低,保持效果越好。
Multi-Task Learning. We then integrate the pull-and-push part (i.e., $\mathcal{L}{P})$ and the distortion part (i.e., $\mathcal{L}{D})$ into an end-to-end fashion through a multi-task learning framework. The objective function is defined as:
多任务学习。随后,我们将拉推部分(即 $\mathcal{L}{P}$)和失真部分(即 $\mathcal{L}{D}$)通过多任务学习框架整合为端到端形式。目标函数定义为:

where $\Theta$ is the total parameter space, including all embeddings and variables of the networks; and $\gamma$ is the multi-task learning weight.
其中 $\Theta$ 是总参数空间,包含所有嵌入向量和网络变量;$\gamma$ 是多任务学习权重。

Figure 1: Illustration of our proposed HyperML. The left figure with the greenish ball represents the hyperbolic unit ball and the pale blue parallelogram illustrates its tangent space; red and vermeil circles represent user embeddings; green and purple circles represent item embeddings. The right figure illustrates an example of a triplet embedding of user (red circle), positive item (green circle) and negative item (orange circle), in which it demonstrates a small tree of one root and two children which is embedded into hyperbolic space with the exponentially expansion property (Best viewed in color).
图 1: 我们提出的 HyperML 示意图。左侧带有绿色球的图表示双曲单位球,淡蓝色平行四边形表示其切空间;红色和朱红色圆圈表示用户嵌入;绿色和紫色圆圈表示物品嵌入。右侧图展示了一个用户(红色圆圈)、正样本物品(绿色圆圈)和负样本物品(橙色圆圈)的三元组嵌入示例,其中演示了一个具有指数扩展特性的双曲空间中的单根双子树结构(建议彩色查看)。
Table 1: Statistics of all datasets used in our experimental evaluation
| 数据集 | 交互次数 | 用户数 | 物品数 | 密度(%) |
|---|---|---|---|---|
| Movie20M | 16M | 53K | 27K | 1.15 |
| Movie1M | 1M | 6K | 4K | 4.52 |
| Goodbooks | 6M | 53K | 10K | 1.14 |
| Yelp | 1M | 22K | 18K | 0.26 |
| Meetup | 248K | 47K | 17K | 0.03 |
| Clothing | 358K | 39K | 23K | 0.04 |
| Sports&Outdoors | 368K | 36K | 18K | 0.06 |
| CellPhones | 250K | 28K | 10K | 0.09 |
| Toys&Games | 206K | 19K | 12K | 0.09 |
| Automotive | 26K | 3K | 2K | 0.49 |
表 1: 实验评估所用全部数据集统计信息
There is an unavoidable trade-off between the precision (learned from the pull-push mechanism) and the distortion as similar to [32]. Thus, jointly training $\mathcal{L}{P}$ and $\mathcal{L}{D}$ can help to boost the model performance while providing good representations. Indeed, we examine the performance of HyperML with and without the distortion by varying different multi-task learning weight $\gamma$ in our experiment in Section 3.
在精度(通过推拉机制学习得到)和失真之间存在着不可避免的权衡,这与[32]类似。因此,联合训练 $\mathcal{L}{P}$ 和 $\mathcal{L}{D}$ 可以在提供良好表征的同时提升模型性能。实际上,我们在第3节的实验中通过调整多任务学习权重 $\gamma$ 来考察HyperML在有失真和无失真情况下的性能表现。
Gradient Conversion. The parameters of our model are learned by projected Riemannian stochastic gradient descent (RSGD) [27] with the form:
梯度转换。我们的模型参数通过投影黎曼随机梯度下降 (RSGD) [27] 进行学习,其形式为:

where $\Re_{\theta_{t}}$ denotes a retraction onto $\mathbb{D}$ at $\theta$ and $\eta_{t}$ is the learning rate at time $t$ .
其中 $\Re_{\theta_{t}}$ 表示在 $\theta$ 处对 $\mathbb{D}$ 的回缩 (retraction),$\eta_{t}$ 是时间 $t$ 的学习率。
The Riemannian gradient $\nabla_{R}$ is then calculated from the Euclidean gradient by rescaling $\nabla_{E}$ with the inverse of the Poincaré ball metric tensor as $\begin{array}{r}{\nabla_{R}=\frac{(1-|\theta_{t}|^{2})^{2}}{4}\nabla_{E}}\end{array}$ , in which this scaling factor depends on the Euclidean distance of the point at time $t$ from the origin [27, 34]. Notably, one could also exploit full RSGD for optimization to perform the updates instead of using first-order approximation to the exponential map [1, 2, 10, 41].
黎曼梯度 $\nabla_{R}$ 通过将欧几里得梯度 $\nabla_{E}$ 与庞加莱球度量张量的逆进行缩放计算得出,即 $\begin{array}{r}{\nabla_{R}=\frac{(1-|\theta_{t}|^{2})^{2}}{4}\nabla_{E}}\end{array}$ ,其中该缩放因子取决于时间 $t$ 时该点与原点之间的欧几里得距离 [27, 34]。值得注意的是,也可以利用完整RSGD进行优化来执行更新,而非使用指数映射的一阶近似 [1, 2, 10, 41]。
3 EXPERIMENTS
3 实验
Datasets. To evaluate our experiments, we use a wide spectrum of datasets with diverse domains and densities. The statistics of the datasets are reported in Table 1.
数据集。为了评估实验效果,我们采用了涵盖多个领域和数据密度的多样化数据集。各数据集的统计信息详见表 1:
Evaluation Protocol and Metrics. We experiment on the one-class collaborative filtering setup. We adopt nDCG@10 (normalized discounted cumulative gain) and HR $@10$ (Hit Ratio) evaluation metrics, which are well-established ranking metrics for recommendation task. Following [17, 33], we randomly select 100 negative samples which the user have not interacted with and rank the ground truth amongst these negative samples. For all datasets, the last item the user has interacted with is withheld as the test set while the penultimate serves as the validation set. During training, we report the test scores of the model based on the best validation scores. All models are evaluated on the validation set at every 50 epochs.
评估协议与指标。我们在单类协同过滤设置下进行实验,采用nDCG@10(归一化折损累积增益)和HR@10(命中率)这两种推荐任务中成熟的排序指标。参照[17, 33]的方法,我们随机选取100个用户未交互的负样本,并将真实项与这些负样本进行排序。所有数据集中,用户最后交互的项作为测试集,倒数第二项作为验证集。训练过程中,我们根据最佳验证分数报告模型的测试分数。所有模型每50个epoch在验证集上评估一次。
3.1 Experimental Setup
3.1 实验设置


Figure 2: Two-dimensional hyperbolic embedding of ten benchmark datasets in the Poincaré disk using t-SNE. The images illustrate the embedding of user and item pairs after the convergence (Best viewed in color).
图 2: 采用 t-SNE 在庞加莱圆盘中对十个基准数据集进行二维双曲嵌入的可视化。图像展示了用户和物品对在收敛后的嵌入情况 (建议彩色查看)。
Compared Baselines. In our experiments, we compare with five well-established and competitive baselines which in turn employ different matching functions: inner product (MF-BPR), neural networks (MLP, NCF) and metric learning (CML, LRML).
对比基线。在我们的实验中,我们与五种成熟且具有竞争力的基线进行比较,这些基线分别采用不同的匹配函数:内积 (MF-BPR)、神经网络 (MLP, NCF) 和度量学习 (CML, LRML)。
• Matrix Factorization with Bayesian Personalized Ranking (MF-BPR) [31] is the standard and strong collaborative filtering (CF) baseline for recommend er systems. It models the user-item representation using the inner product and explores the triplet objective to rank items. • Multi-layered Perceptron (MLP) is a feed forward neural network that applies multiple layers of nonlinear i ties to capture the relationship between users and items. We select the best number of MLP layers from ${3,4,5}$ . • Neural Collaborative Filtering (NCF) [17] is a neural network based method for collaborative filtering which models nonlinear user-item interaction. The key idea of NCF is to fuse the last hidden representation of MF and MLP into a joint model. Following [17], we use a three layered MLP with a pyramid structure.
• 基于贝叶斯个性化排序的矩阵分解 (Matrix Factorization with Bayesian Personalized Ranking, MF-BPR) [31] 是推荐系统中标准且强大的协同过滤 (Collaborative Filtering, CF) 基线方法。它通过内积建模用户-物品表征,并利用三元组目标函数对物品进行排序。
• 多层感知机 (Multi-layered Perceptron, MLP) 是一种前馈神经网络,通过多层非线性变换捕捉用户与物品间的关系。我们从 ${3,4,5}$ 中选择最佳MLP层数。
• 神经协同过滤 (Neural Collaborative Filtering, NCF) [17] 是一种基于神经网络的协同过滤方法,用于建模非线性用户-物品交互。NCF的核心思想是将MF和MLP的最终隐藏表征融合为联合模型。参照[17],我们采用具有金字塔结构的三层MLP。
• Collaborative Metric Learning (CML) [19] is a strong metric learning baseline that learns user-item similarity using the Euclidean distance. CML can be considered a key ablative baseline in our experiments, signifying the difference between Hyperbolic and Euclidean metric spaces. • Latent Relational Metric Learning (LRML) [33] is also a strong metric learning baseline that learns adaptive relation vectors between user and item interactions to find a single optimal translation vector between each user-item pair.
- 协同度量学习 (Collaborative Metric Learning, CML) [19] 是一种基于欧氏距离学习用户-物品相似性的强力度量学习基线方法。该模型可作为我们实验中关键消融基线,用于验证双曲度量空间与欧氏度量空间的差异。
- 潜在关系度量学习 (Latent Relational Metric Learning, LRML) [33] 是另一种强力度量学习基线,该方法通过自适应学习用户与物品交互间的关系向量,为每对用户-物品组合寻找单一最优平移向量。
Implementation Details. We implement all models in Tensorflow. All models are trained with the Adam [21] or AdaGrad [9] optimizer with learning rates from $\left{0.01,0.001,0.0001,0.00001\right}$ . The embedding size $d$ of all models is tuned amongst ${32,64,128}$ and the batch size $B$ is tuned amongst ${128,256,512}$ . The multi-task learning weight $\gamma$ is empirically chosen from ${0,0.1,0.25,0.5,0.75}$ , $1.0}$ . For models that optimize the hinge loss, the margin $\lambda$ is selected from ${0.1,0.2,0.5}$ . For NCF, we use a pre-trained model as reported in [17] to achieve its best performance. All the embeddings and parameters are randomly initialized using the random uniform initialize r $\mathcal{U}(-\alpha,\alpha)$ . For non-metric learning baselines, we set $\alpha=0.01$ . For metric learning models, we empirically set $\alpha=(\frac{3\beta^{2}}{2d})^{\frac{1}{3}}$ ,a illn twheh iechm bweed dcihnogoss eo $\beta=0.01$ .r iTch lee ar rena is no gn ims otdhealts wtoe be initialized arbitrarily close to the origin of the balls5 for a fair comparison. For most datasets and baselines, we empirically set the embedding size of 64 and the batch size is 512. We also empirically set the dropout rate $\rho=0.5$ to prevent over fitting. For each dataset, the optimal parameters are established by repeating each experiment for $N$ runs and assessing the average results. We have used $N=5$ for our experiment.
实现细节。我们使用Tensorflow实现所有模型。所有模型均采用Adam [21]或AdaGrad [9]优化器进行训练,学习率从$\left{0.01,0.001,0.0001,0.00001\right}$中选择。所有模型的嵌入维度$d$在${32,64,128}$范围内调优,批量大小$B$在${128,256,512}$范围内调优。多任务学习权重$\gamma$从${0,0.1,0.25,0.5,0.75}$和$1.0}$中根据经验选择。对于优化合页损失的模型,边界值$\lambda$从${0.1,0.2,0.5}$中选择。对于NCF,我们使用[17]中报告的预训练模型以达到其最佳性能。所有嵌入和参数均采用均匀分布初始化器$\mathcal{U}(-\alpha,\alpha)$进行随机初始化。对于非度量学习基线,我们设置$\alpha=0.01$。对于度量学习模型,我们根据经验设置$\alpha=(\frac{3\beta^{2}}{2d})^{\frac{1}{3}}$,其中选择$\beta=0.01$。为确保公平比较,所有模型初始化时都需任意接近球体原点5。对于大多数数据集和基线,我们根据经验设置嵌入维度为64,批量大小为512。同时设置丢弃率$\rho=0.5$以防止过拟合。每个数据集的最优参数通过重复实验$N$次并评估平均结果确定,本实验采用$N=5$。
Table 2: Experimental results (nDCG@10 and $\mathbf{HR}\ @\mathbf{10}^{\prime}$ ) on ten public benchmark datasets. Best result is in bold face and second best is underlined. Our proposed HyperML achieves very competitive results, outperforming strong recent advanced metric learning baselines such as CML and LRML.
| | MovieLens20M | | MovieLens1M | | Goodbooks | | Yelp | | Meetup |
| | nDCG@10 | HR@10 | nDCG@10 | HR@10 | nDCG@10 | HR@10 | nDCG@10 | HR@10 | nDCG@10 | HR@10 |
| MF-BPR | 63.462 | 82.206 | 55.173 | 74.057 | 49.559 | 71.033 | 56.443 | 77.926 | 48.359 | 62.468 |
| MLP | 62.500 | 84.380 | 54.851 | 73.812 | 48.597 | 70.226 | 52.777 | 75.784 | 43.310 | 55.616 |
| NCF | 59.485 | 81.859 | 55.503 | 74.127 | 50.823 | 72.014 | 53.078 | 72.757 | 52.334 | 62.210 |
| CML | 62.664 | 85.571 | 55.737 | 74.528 | 49.010 | 72.556 | 54.996 | 77.122 | 51.453 | 60.589 |
| LRML | 63.775 | 81.327 | 54.057 | 73.358 | 50.392 | 71.424 | 54.719 | 76.764 | 50.208 | 61.347 |
| HyperML | 64.042 | 87.363 | 56.197 | 75.629 | 51.088 | 74.152 | 59.543 | 81.392 | 54.633 | 67.304 |
| Improvement | +0.42% | +2.09% | +0.83% | +1.48% | +0.52% | +2.20% | +5.49% | +4.45% | +4.39% | +7.74% |
| | Clothing | | Sports | | Cell phones | | Games | | Automotive |
| | nDCG@10 | HR@10 | nDCG@10 | HR@10 | nDCG@10 | HR@10 | nDCG@10 | HR@10 | nDCG@10 | HR@10 |
| MF-BPR | 13.189 | 20.509 | 26.130 | 38.553 | 26.483 | 37.434 | 22.156 | 34.877 | 20.433 | 31.707 |
| MLP | 13.947 | 22.726 | 24.431 | 37.015 | 25.732 | 37.677 | 21.074 | 32.251 | 16.789 | 27.685 |
| NCF | 16.809 | 26.470 | 20.268 | 30.232 | 22.496 | 32.697 | 20.959 | 30.871 | 17.340 | 28.441 |
| CML | 16.623 | 26.371 | 19.211 | 30.197 | 19.320 | 29.746 | 21.579 | 32.524 | 17.556 | 27.985 |
| LRML | 16.643 | 26.421 | 22.938 | 33.667 | 20.177 | 30.999 | 20.747 | 31.695 | 16.492 | 26.124 |
| HyperML | 17.150 | 27.899 | 34.576 | 48.262 | 29.325 | 42.921 | 23.164 | 35.995 | 24.736 | 37.324 |
| Improvement | +2.03% | +5.40% | +32.32% | +25.18% | +10.73% | +13.92% | +4.55% | +3.21% | +21.06% | +17.72% |
表 2: 十个公开基准数据集上的实验结果 (nDCG@10 和 $\mathbf{HR}\ @\mathbf{10}^{\prime}$ )。最佳结果以粗体显示,次佳结果加下划线。我们提出的 HyperML 取得了极具竞争力的结果,优于 CML 和 LRML 等近期先进的度量学习基线方法。
3.2 Experimental Results
3.2 实验结果
This section presents our experimental results on all datasets. For all obtained results, the best result is in boldface whereas the second best is underlined. As reported in Table 2, our proposed model consistently outperforms all the baselines on both $\mathrm{HR}@10$ and $\mathrm{nDCG@10}$ metrics across all benchmark datasets.
本节展示我们在所有数据集上的实验结果。所有结果中,最佳结果以粗体标出,次优结果以下划线标示。如表 2 所示,我们提出的模型在所有基准数据集的 $\mathrm{HR}@10$ 和 $\mathrm{nDCG@10}$ 指标上均持续优于所有基线方法。
Pertaining to the baselines, we observe that there is no obvious winner among the baseline solutions. In addition, we also observe that the performance of MF-BPR and CML is extremely competitive, i.e. both MF-BPR and CML consistently achieve good results across the datasets. Notably, the performance of MF-BPR is much better than CML on datasets with less number of interactions. For datasets with larger size (i.e., Movie Lens 20 M, Movie Lens 1 M and Goodbooks), the performance of metric learning models perform better in which the gain of CML and LRML on the non-metric learning baselines across large datasets is approximately $+0.39%$ and $+0.91%$ respectively in terms of nDCG. One possible reason is that for small datasets with low interactions (e.g., Automotive with 26K interactions of $0.49%$ density), a simple model such as MF-BPR should be considered as a priority choice. In addition, the performance of a careful pre-trained NCF also often achieves competitive results with large datasets but not small ones in most cases. The explanation is because using the dual embedding spaces (since NCF combines MLP and MF) could possibly lead to over fitting if the dataset is not large enough [33].
关于基线方法,我们观察到各基线方案中不存在明显优势者。此外,MF-BPR(矩阵分解贝叶斯个性化排序)与CML(协同度量学习)的表现极具竞争力,两者在所有数据集中均保持稳定优异表现。值得注意的是,在交互数量较少的数据集(如仅含2.6万次交互、密度0.49%的Automotive数据集)上,MF-BPR性能显著优于CML。而对于大型数据集(如MovieLens 2000万、MovieLens 100万和Goodbooks),度量学习模型表现更优——CML和LRML在nDCG指标上分别较非度量学习基线平均提升+0.39%和+0.91%。这可能是因为对于交互稀疏的小型数据集,应优先考虑MF-BPR这类简单模型。此外,经过精细预训练的NCF(神经协同过滤)在多数情况下仅对大型数据集有效,其双嵌入空间设计(结合MLP与MF)容易在数据量不足时导致过拟合 [33]。
Remarkably, our proposed model HyperML demonstrates highly competitive results and consistently outperforms the best baseline method. The percentage improvements in terms of nDCG on ten datasets (in the same order as reported in Table 2) are $+0.42%$ $+0.83%$ , $+0.52%$ , $+5.49%$ , $+4.39%$ , $+2.03%$ , $+32.32%$ , $+10.71%$ , $+4.55%$ and $+21.06%$ respectively. We also observe similar high performance gains on the hit ratio $(\mathrm{HR}@10)$ . Note that the hyperbolic spaces expand faster, i.e. exponentially, than Euclidean spaces, in which the forces are generated by the rescaled gradients, pulling and pushing the points with more reasonable distances compared to Euclidean. Therefore, it enables us to achieve very competitive results of our proposed HyperML in the hyperbolic space over other strong Euclidean baselines. Our experimental evidence shows the remarkable recommendation results of our proposed HyperML model on the variety of datasets and the advantage of hyperbolic space over Euclidean space in boosting the performance in metric learning framework.
值得注意的是,我们提出的HyperML模型展现出极具竞争力的结果,始终优于最佳基线方法。在十个数据集上nDCG指标的百分比提升(顺序与表2一致)分别为$+0.42%$、$+0.83%$、$+0.52%$、$+5.49%$、$+4.39%$、$+2.03%$、$+32.32%$、$+10.71%$、$+4.55%$和$+21.06%$。在命中率$(\mathrm{HR}@10)$指标上也观察到类似的高性能提升。需注意的是,双曲空间的扩张速度(即指数级)快于欧几里得空间,其作用力通过重新缩放梯度产生,能以比欧几里得更合理的距离推拉节点。因此,我们提出的HyperML在双曲空间中能比其他强欧几里得基线取得更具竞争力的结果。实验证据表明,HyperML模型在多种数据集上取得了显著的推荐效果,同时验证了双曲空间在度量学习框架中超越欧几里得空间的性能优势。
3.3 Model Convergence Analysis
3.3 模型收敛性分析
This section investigates the model convergence analysis of our proposed model to understand the behavior of the embeddings in hyperbolic space.
本节研究我们提出模型的收敛性分析,以理解双曲空间中嵌入的行为。
Hyperbolic Convergence. Figure 2 visualizes the two-dimensional hyperbolic embedding using t-SNE on the test set of ten benchmark datasets after the convergence. We observe that item embeddings form a sphere over the user embeddings. Moreover, since we conduct the analysis on the test set, the visualization of the user/item embeddings in Figure 2 demonstrates the ability of HyperML to self-organize and automatically spread out the item embeddings on the sphere around user embeddings, as mentioned in [32, 33, 35]. Moreover, the clustering characteristic of observing the user-user and item-item relationships discussed in Section 2 is also captured in Figure 2. It could be seen especially clearly for the MovieLens and Yelp dataset.
双曲收敛。图 2 展示了在十个基准数据集测试集上收敛后使用 t-SNE 生成的二维双曲嵌入可视化结果。我们观察到物品嵌入在用户嵌入上方形成了一个球面。此外,由于分析基于测试集,图 2 中用户/物品嵌入的可视化印证了 HyperML 的自组织能力——如 [32, 33, 35] 所述,它能自动将物品嵌入分散在用户嵌入周围的球面上。同时,图 2 也捕捉到了第 2 节讨论的用户-用户与物品-物品关系的聚类特征,这一特性在 MovieLens 和 Yelp 数据集中尤为明显。

Figure 3: Comparison between two-dimensional Poincaré embedding and Euclidean embedding on Yelp and Automotive dataset. The images illustrate the embeddings of LRML, CML and HyperML after convergence (Best viewed in color).
图 3: Yelp和Automotive数据集上二维庞加莱嵌入与欧几里得嵌入的对比。图像展示了LRML、CML和HyperML收敛后的嵌入效果 (建议彩色查看)。
Convergence Comparison. Figure 3 illustrates the comparison between two-dimensional Poincaré embedding (HyperML) and Euclidean embedding (CML, LRML) on the Yelp and Amazon dataset. For the Euclidean embedding, we clip the norm (i.e., the norm of the embeddings is constrained to 1) and initialize all the embeddings very close to the origin, for an analogous comparison.
收敛性对比。图 3: 展示了 Yelp 和 Amazon 数据集上二维庞加莱嵌入 (HyperML) 与欧几里得嵌入 (CML, LRML) 的对比情况。为进行等效对比,我们对欧几里得嵌入采用模长截断 (即嵌入向量模长约束为1) 并将所有嵌入初始化至接近原点的位置。
At first glance, we notice the difference between the three types of embedding by observing the distribution of user and item embeddings in the spaces after the convergence. While HyperML and CML have the item embeddings gradually assemble to a sphere structure surround user embeddings, the item embeddings of LRML have the opposite movement. The reason is because the motivation behind both CML and HyperML is to create the learned metric through the pull-push mechanism, whereas the motivation of LRML is to additionally learn the translation vector, which establishes the main cause of different visualization s.
乍看之下,我们通过观察收敛后空间中用户和物品嵌入的分布,注意到三种嵌入类型的差异。当HyperML和CML的物品嵌入逐渐聚集成围绕用户嵌入的球体结构时,LRML的物品嵌入却呈现相反运动趋势。这是因为CML和HyperML的动机是通过推拉机制创建学习度量,而LRML的动机是额外学习平移向量,这构成了可视化差异的主要原因。
It is worth mentioning that since we initialize all the embeddings very close to the origin, we observe the difference between hyperbolic and Euclidean space that leads to the difference in the convergence of HyperML and CML. While both models form a sphere shape over the user embeddings equally, we observe that the user embeddings of HyperML tend to be located closer to the origin than CML while we get similar spread out observation of items. The explanation is that even with similar forces created by the gradients in the same direction, the different expansion property of the two spaces produces the distances between the triplets more separable, which leads to the boosting performance of the proposed model.
值得一提的是,由于我们将所有嵌入向量初始化在非常靠近原点的位置,因此观察到双曲空间与欧氏空间的差异导致了HyperML和CML在收敛性上的不同。虽然两种模型对用户嵌入向量形成的球状分布相似,但我们发现HyperML的用户嵌入向量往往比CML更靠近原点,而物品嵌入向量的分散程度则较为接近。这种现象的解释是:即使梯度在相同方向上产生相似的力,两种空间不同的扩展特性会使三元组之间的距离更具可分离性,从而提升了所提出模型的性能。
Table 3: Performance comparison between HyperML and HyperTS.
表 3: HyperML 与 HyperTS 的性能对比
| Meetup | Clothing | |||
|---|---|---|---|---|
| nDCG@10 | HR@10 | nDCG@10 | HR@10 | |
| HyperML | 54.633 | 67.304 | 17.150 | 27.899 |
| HyperTS | 54.612 | 67.277 | 17.190 | 27.959 |
| Sports | Cell phones | |||
| nDCG@10 | HR@10 | nDCG@10 | HR@10 | |
| HyperML | 34.576 | 48.262 | 29.325 | 42.921 |
| HyperTS | 31.896 | 45.272 | 29.933 | 43.532 |
Table 4: Effects of the scaling variable c on Goodbooks and Games datasets in terms of nDCG $@$ 10.
| 缩放变量c | Goodbooks | Games | ||||
|---|---|---|---|---|---|---|
| HyperML | CML | △(%) | HyperML | CML | △(%) | |
| c = 0.5 | 51.396 | 49.010 | +4.87% | 37.134 | 32.524 | +14.17% |
| c = 1.0 | 51.088 | 49.010 | +4.24% | 35.995 | 32.524 | +10.67% |
| c = 2.0 | 49.631 | 49.010 | +1.27% | 38.578 | 32.524 | +18.61% |
| c = 4.0 | 46.017 | 49.010 | -6.11% | 35.466 | 32.524 | +9.05% |
| c = 8.0 | 40.488 | 49.010 | -17.39% | 28.390 | 32.524 | -12.71% |
表 4: 缩放变量c对Goodbooks和Games数据集在nDCG $@$ 10指标上的影响
3.4 Comparison of Hyperbolic Variants
3.4 双曲变体对比
In this section, we study the variants of our proposed model: HyperML and HyperTS (applied optimization after mapping the user and item embeddings to the tangent space at 0 using the $\log_{\mathbf{0}}$ map). Notably, HyperTS is viable because the tangent space at the origin of the Poincaré ball resembles Euclidean space. Table 3 represents the performance of the variants on the datasets in terms of $\mathrm{nDCG@10}$ and $\mathrm{HR}@10$ . In general, we observe both HyperML and HyperTS achieve highly competitive results, boosting the performance over Euclidean metric learning models across Meetup, Clothing, Sports, and Cell phones datasets.
在本节中,我们研究了所提出模型的变体:HyperML 和 HyperTS (通过使用 $\log_{\mathbf{0}}$ 映射将用户和物品嵌入映射到 0 处的切空间后进行优化)。值得注意的是,HyperTS 是可行的,因为庞加莱球原点的切空间类似于欧几里得空间。表 3 展示了这些变体在 $\mathrm{nDCG@10}$ 和 $\mathrm{HR}@10$ 指标下在各数据集上的性能。总体而言,我们观察到 HyperML 和 HyperTS 都取得了极具竞争力的结果,在 Meetup、Clothing、Sports 和 Cell phones 数据集上超越了欧几里得度量学习模型的性能。
3.5 Effect of Scaling Variable
3.5 缩放变量的影响
In this section, we study the effect of the variable $c$ on our proposed HyperML and the CML baseline model. Table 4 represents the performance of HyperML regarding the different value of the scaling variable c comparing to CML in terms of $\mathrm{nDCG@10}$ . We observe that HyperML achieves best performance when $c=0.5$ on Goodbooks dataset, but $c=2.0$ on Games dataset. For other values of $c$ , we notice the oscillated performance of HyperML.
在本节中,我们研究了变量$c$对我们提出的HyperML和CML基线模型的影响。表4展示了HyperML在不同缩放变量$c$值下的性能表现,与CML在$\mathrm{nDCG@10}$指标上的对比。我们观察到,在Goodbooks数据集上,当$c=0.5$时HyperML达到最佳性能,而在Games数据集上最佳值为$c=2.0$。对于其他$c$值,我们注意到HyperML的性能存在波动。
As introduced, for c > 0, our ball shrinks to the radius of √1c . Without loss of generality, the case of $c>0$ can be reduced to $c=1$ (the usual unit ball). However, we observe that different scaling variable c would effect the performance differently in practice, which should be set carefully for each dataset. In fact, with $c$ carries values from 0.5 to 8.0, the percentage gain/loss of HyperML over CML varies from $+4.87%/-17.39%$ to $+14.17%/-12.71%$ on Goodbooks and Games dataset, respectively.
如前所述,当c > 0时,我们的球会收缩到√1c的半径。不失一般性,$c>0$的情况可以简化为$c=1$(常规单位球)。然而,我们观察到不同的缩放变量c在实践中会对性能产生不同影响,需要针对每个数据集谨慎设置。实际上,当$c$取值从0.5到8.0时,HyperML相比CML在Goodbooks和Games数据集上的性能增益/损失百分比分别在$+4.87%/-17.39%$到$+14.17%/-12.71%$之间波动。
3.6 Accuracy Trade-off with Different Multi-task Learning Weight
3.6 不同多任务学习权重的准确率权衡
In this section, we study the effect of different multi-task learning weight $\gamma$ on our proposed HyperML model on Meetup and Automotive dataset. Figure 4 represents the performance of HyperML when changing the value of the multi-task learning weight $\gamma$ in terms of $\mathrm{HR}@10$ and $\mathrm{nDCG@10}$ . We observe the obvious boost of the performance when $\gamma$ increases from 0 to positive values on both two datasets. While for Meetup dataset, HyperML achieves best performance when $\gamma=0.75$ , we observe the performance of HyperML achieves its best result on Automotive dataset when $\gamma=1.0$ For other values of $\gamma$ , we also observe the oscillated performance of HyperML due to the trade-off. On a side note, when $\gamma=0$ , i.e. removing the distortion, we notice the decreasing performance of HyperML compared to CML by $-21.48%$ and $-15.48%$ in terms of nDCG@10 on Meetup and Automotive dataset, respectively.
在本节中,我们研究了不同多任务学习权重$\gamma$对我们提出的HyperML模型在Meetup和Automotive数据集上的影响。图4展示了当改变多任务学习权重$\gamma$时,HyperML在$\mathrm{HR}@10$和$\mathrm{nDCG@10}$指标上的性能表现。我们观察到,当$\gamma$从0增加到正值时,两个数据集的性能都有明显提升。对于Meetup数据集,当$\gamma=0.75$时,HyperML达到最佳性能;而对于Automotive数据集,当$\gamma=1.0$时,HyperML性能最佳。对于其他$\gamma$值,由于权衡关系,我们观察到HyperML的性能存在波动。此外,当$\gamma=0$(即去除失真项)时,与CML相比,HyperML在Meetup和Automotive数据集上的nDCG@10性能分别下降了$-21.48%$和$-15.48%$。

Figure 4: Performance on Different Multi-task Learning Weight γ .
图 4: 不同多任务学习权重γ下的性能表现

Figure 5: 2D t-SNE item embeddings visualization of hyperbolic metric in Movie Lens 1 M dataset (Best viewed in color).
图 5: Movie Lens 1 M 数据集中双曲度量 (hyperbolic metric) 的 2D t-SNE 物品嵌入可视化 (建议彩色查看)。
Thus, we conclude that the multi-task learning weight $\gamma$ as well as the distortion play important roles on boosting the performance, in which the weight $\gamma$ causes the trade-off between minimizing the distortion and the model’s accuracy.
因此,我们得出结论:多任务学习权重 $\gamma$ 以及失真度对提升性能起着重要作用,其中权重 $\gamma$ 会导致最小化失真度与模型精度之间的权衡。
3.7 Metric Learning Visualization
3.7 度量学习可视化
In this section, we study the clustering effect of HyperML. Figure 5 represents the clustering effect in which the 18 colors represent 18 movie genres from the Movie Lens 1 M dataset . From the figure, we empirically discover that despite being only trained on implicit interactions, explicit rating information is surprisingly being discovered in HyperML. Within the hyperbolic space, the metric learning shows cluster structures of items with same genres induced by users, providing insight and achieving similar effect as [15, 19]. The visualization supports our previous claim that the nearest neighborhood items tend to be liked by the same users with similar interests. Notably, the t-SNE visualization also illustrates the sphere structure embeddings as introduced.
在本节中,我们研究了HyperML的聚类效应。图5展示了聚类效果,其中18种颜色代表Movie Lens 1 M数据集中的18种电影类型。通过该图,我们经验性地发现,尽管仅基于隐式交互进行训练,HyperML却意外地捕捉到了显式评分信息。在双曲空间中,度量学习呈现出由用户诱导的同类型物品聚类结构,这一现象与[15, 19]的研究具有相似的解释力和效果。可视化结果支持了我们先前的论断:最近邻物品往往会被兴趣相似的用户所喜爱。值得注意的是,t-SNE可视化也清晰地展示了前文所述的球面结构嵌入特征。
4 RELATED WORK
4 相关工作
Across the rich history of recommend er systems research, a myriad of machine learning models have been proposed using matching functions to define similarity scores [17–19, 22, 26, 30, 31, 31]. Traditionally, many works are mainly focused on factorizing the interaction matrix, combining the user-item embeddings using the inner product as a matching function [17, 23, 26]. On the other hand, many approaches in personalized recommend er system based on the distance/similarity metric between two points using Euclidean distance have shown their strong competency in improving the model accuracy in different domains [6, 20, 36, 37, 39, 40, 42].
在推荐系统研究的丰富历史中,人们提出了众多使用匹配函数定义相似性得分的机器学习模型 [17–19, 22, 26, 30, 31, 31]。传统上,许多工作主要集中于分解交互矩阵,使用内积作为匹配函数来组合用户-物品嵌入 [17, 23, 26]。另一方面,基于欧氏距离的两点间距离/相似性度量的个性化推荐系统方法,已在不同领域展现出提升模型准确性的强大能力 [6, 20, 36, 37, 39, 40, 42]。
To this end, [19] argued that using inner product formulation lacks expressiveness due to its violation of the triangle inequality. As a result, the authors proposed Collaborative Metric Learning (CML), a strong recommendation baseline based on Euclidean distance. Notably, many recent works have moved into neural models [17, 43], in which stacked nonlinear transformations have been used to approximate the interaction function.
为此,[19] 指出使用内积公式由于违反三角不等式而缺乏表现力。因此,作者提出了基于欧几里得距离的强推荐基线——协同度量学习 (Collaborative Metric Learning, CML)。值得注意的是,许多近期工作转向了神经模型 [17, 43],其中采用堆叠非线性变换来近似交互函数。
Our work is inspired by recent advances in hyperbolic representation learning [5, 7, 10, 12, 25, 27, 28, 32, 35]. For instance, [34] proposed training a question answering system in hyperbolic space. [8] proposed learning word embeddings using a hyperbolic neural network. [13] proposed a hyperbolic variation of self-attention and the transformer network, and applied it to tasks such as visual question answering and neural machine translation. [11] proposed recurrent neural networks in hyperbolic space, [3] proposed a method of embedding graphs in hyperbolic space. [4] is the most similar work to ours that embeds bipartite user-item graphs in hyperbolic space, but it does not learn the embeddings with metric learning manner. While the advantages of hyperbolic space seem eminent in the wide variety of application domains, there is no work that investigates this embedding space within the context of metric learning in recommend er systems. This constitutes the key novelty of our work. A detailed primer on hyperbolic space is given in the technical exposition of the paper.
我们的工作受到双曲表示学习最新进展的启发 [5, 7, 10, 12, 25, 27, 28, 32, 35]。例如,[34] 提出在双曲空间中训练问答系统;[8] 提出使用双曲神经网络学习词嵌入;[13] 提出了自注意力机制和Transformer网络的双曲变体,并将其应用于视觉问答和神经机器翻译等任务;[11] 提出了双曲空间中的循环神经网络;[3] 提出了一种在双曲空间中嵌入图结构的方法。与我们工作最相似的是 [4],它在双曲空间中嵌入了二分用户-物品图,但并未采用度量学习的方式进行嵌入学习。尽管双曲空间在众多应用领域中的优势显而易见,但目前尚未有研究在推荐系统的度量学习背景下探索这一嵌入空间。这正是我们工作的核心创新点。关于双曲空间的详细入门介绍,请参见本文的技术阐述部分。
5 CONCLUSION
5 结论
In this paper, we introduce a new effective and competent recommendation model called HyperML. To the best of our knowledge, HyperML is the first model to explore metric learning in hyperbolic space in recommend er system. Additionally, we also introduce a distortion term, which is essential to control good representations in hyperbolic space. Through extensive experiments on ten datasets, we are able to demonstrate the effectiveness of HyperML over other baselines in Euclidean space, even state-of-the-art metric learning models such as CML or LRML. The promising results of HyperML may inspire other future works to explore hyperbolic space in solving recommendation problems.
本文介绍了一种名为HyperML的新型高效推荐模型。据我们所知,HyperML是首个在推荐系统中探索双曲空间(hyperbolic space)度量学习的模型。此外,我们还引入了一个失真项(distortion term),这对控制双曲空间中的良好表征至关重要。通过在十个数据集上的大量实验,我们证明了HyperML优于欧几里得空间中的其他基线模型,甚至超越了CML或LRML等最先进的度量学习模型。HyperML的优异表现可能启发未来更多研究探索双曲空间来解决推荐问题。
