Exploring the Limit of Outcome Reward for Learning Mathematical Reasoning
探索结果奖励在数学推理学习中的极限
1Shanghai AI Laboratory 2Shanghai Jiao Tong University 3MMLab, The Chinese University of Hong Kong 4HKGAI under InnoHK {lvchengqi,gao song yang,guyuzhe,zhang wen wei,chenkai}@pjlab.org.cn
1上海人工智能实验室 2上海交通大学 3香港中文大学MMLab 4InnoHK旗下HKGAI {lvchengqi,gao song yang,guyuzhe,zhang wen wei,chenkai}@pjlab.org.cn
Abstract
摘要
Reasoning abilities, especially those for solving complex math problems, are crucial components of general intelligence. Recent advances by proprietary companies, such as o-series models of OpenAI, have made remarkable progress on reasoning tasks. However, the complete technical details remain unrevealed, and the techniques that are believed certainly to be adopted are only reinforcement learning (RL) and the long chain of thoughts. This paper proposes a new RL framework, termed OREAL, to pursue the performance limit that can be achieved through Outcome REwArd-based reinforcement Learning for mathematical reasoning tasks, where only binary outcome rewards are easily accessible. We theoretically prove that behavior cloning on positive trajectories from best-of-N (BoN) sampling is sufficient to learn the KL-regularized optimal policy in binary feedback environments. This formulation further implies that the rewards of negative samples should be further reshaped to ensure the gradient consistency between positive and negative samples. To alleviate the long-existing difficulties brought by sparse rewards in RL, which are even exacerbated by the partial correctness of the long chain of thought for reasoning tasks, we further apply a token-level reward model to sample important tokens in reasoning trajectories for learning. With OREAL, for the first time, a 7B model can obtain 94.0 pass $@1$ accuracy on MATH-500 through RL, being on par with 32B models. OREAL-32B also surpasses previous 32B models trained by distillation with $95.0,\mathrm{pass}@1$ accuracy on MATH-500. Our investigation also indicates the importance of initial policy models and training queries for RL. Code, models, and data will be released to benefit future research .
推理能力,尤其是解决复杂数学问题的能力,是通用人工智能的关键组成部分。最近,像 OpenAI 的 o-series 模型这样的专有公司取得了显著的进展。然而,完整的技术细节仍未公开,而被认为肯定采用的技术只有强化学习 (RL) 和长链思维。本文提出了一种新的 RL 框架,称为 OREAL,旨在通过基于结果奖励的强化学习 (Outcome REwArd-based Reinforcement Learning) 来追求数学推理任务的性能极限,其中只有二元结果奖励是容易获得的。我们从理论上证明,在二元反馈环境中,通过对最佳 N 采样 (Best-of-N sampling) 的正向轨迹进行行为克隆,足以学习到 KL 正则化的最优策略。这一公式进一步表明,负样本的奖励应进一步重塑,以确保正负样本之间的梯度一致性。为了缓解 RL 中因稀疏奖励带来的长期困难(这一困难在长链思维的部分正确性下进一步加剧),我们进一步应用了 Token 级奖励模型来采样推理轨迹中的重要 Token 以进行学习。通过 OREAL,一个 7B 模型首次能够在 MATH-500 上通过 RL 获得 94.0 的 pass@1 准确率,与 32B 模型相当。OREAL-32B 也超越了之前通过蒸馏训练的 32B 模型,在 MATH-500 上达到了 95.0 的 pass@1 准确率。我们的研究还表明了初始策略模型和训练查询对 RL 的重要性。代码、模型和数据将被发布,以造福未来的研究。
1 Introduction
1 引言
Solving complex problems with reasoning capability forms one of the cornerstones of human cognition - a cognitive ability that artificial general intelligence must ultimately master [1, 2]. Among various problem domains, the mathematical problem emerges as a particularly compelling experimental paradigm for AI research [3–6], owing to its relatively well-defined structure and availability of precise binary correctness feedback based on the verifiable final answers.
解决复杂问题的推理能力构成了人类认知的基石之一——这也是通用人工智能最终必须掌握的认知能力 [1, 2]。在众多问题领域中,数学问题由于其相对清晰的结构和基于可验证最终答案的精确二元反馈,成为了AI研究中特别引人注目的实验范式 [3–6]。
Recent advances in large language models (LLMs) have achieved remarkable progress in mathematical reasoning by the chain-of-thought technics [7–9], in which the LLMs are elicited to produce a series of intermediate reasoning steps before providing the final answers to the problem. However, as most of the capable models (e.g., the o-series models by OpenAI [10]) are developed by proprietary companies, there is no clear pathway to develop state-of-the-art reasoning models. Some recent work shows that distillation [11, 12] is sufficient to obtain high performance given the accessibility to existing best or near best AI models, reinforcement learning (RL) is believed to be a more fundamental approach and has exhibited potential [13] to advance beyond the intelligence boundary of current AI models, using the most capable open-source foundation models (DeepSeek-V3-base [14], inter alia).
大语言模型 (LLMs) 的最新进展在数学推理方面取得了显著进步,这主要得益于思维链技术 [7–9],该技术引导大语言模型在提供问题最终答案之前生成一系列中间推理步骤。然而,由于大多数高性能模型(例如 OpenAI 的 o 系列模型 [10])是由专有公司开发的,因此没有明确的途径来开发最先进的推理模型。最近的一些研究表明,在能够访问现有最佳或接近最佳的 AI 模型的情况下,蒸馏 [11, 12] 足以获得高性能,但强化学习 (RL) 被认为是一种更根本的方法,并且在使用最强大的开源基础模型(如 DeepSeek-V3-base [14] 等)时,已经展现出超越当前 AI 模型智能边界的潜力 [13]。

Figure 1: Overall performance between OREAL-32B and some competitive baselines.
图 1: OREAL-32B 与一些竞争基线的整体性能对比。
However, fundamental challenges of sparse reward in RL persist and are even exacerbated in mathematical reasoning tasks that mainly rely on the chain of thought technics with LLMs [7]: the evaluation of intermediate reasoning steps is labor intensive [15] and its accurate automation approach is still under-explored, thus, the only reliable reward is based on the outcome (correctness of final answer), which is inherently binary and sparse when faced with more than 2000 tokens in the long reasoning trajectories [13, 16]. Existing approaches have attempted to estimate the advantages or values of reasoning steps by search [17, 18] or value function-based credit assignment [19, 20], yet, their performance remains unsatisfactory in comparison with the distilled models [13].
然而,RL(强化学习)中稀疏奖励的基本挑战依然存在,在主要依赖大语言模型的思维链技术的数学推理任务中甚至更加严重 [7]:对中间推理步骤的评估是劳动密集型的 [15],其准确的自动化方法仍在探索中,因此,唯一可靠的奖励是基于结果(最终答案的正确性),这在面对超过2000个Token的长推理轨迹时本质上是二元且稀疏的 [13, 16]。现有方法尝试通过搜索 [17, 18] 或基于价值函数的信用分配 [19, 20] 来估计推理步骤的优势或价值,然而,与蒸馏模型相比,它们的表现仍然不尽如人意 [13]。
This paper aims to conquer the above challenges and proposes a simple framework, termed OREAL, to push the limit of Outcome REwArd-based reinforcement Learning for mathematical reasoning tasks. OREAL is grounded in the unique characteristics of mathematical reasoning tasks that binary outcome feedback creates an environment where all positive trajectories are equally valid. We first establish that behavior cloning on BoN-sampled positive trajectories is sufficient to achieve KL-regularized optimality, which emerges from the analysis that the positive trajectory from BoN sampling converges to a distribution independent of the sample number. For learning on negative samples, OREAL reveals the necessity of reward shaping to maintain consistent gradient estimation between sampling and target distributions. Such a mechanism compensates for BoN’s under-sampling of negative gradients, and enables difficulty-adaptive optimization over both successful and failed trajectories.
本文旨在克服上述挑战,并提出一个名为OREAL的简单框架,以突破基于结果奖励的强化学习在数学推理任务中的极限。OREAL基于数学推理任务的独特特性,即二元结果反馈创造了一个所有正轨迹都同样有效的环境。我们首先证明,在BoN采样的正轨迹上进行行为克隆足以实现KL正则化最优性,这是因为从BoN采样得到的正轨迹收敛到一个与样本数量无关的分布。对于负样本的学习,OREAL揭示了奖励塑形的必要性,以保持采样分布和目标分布之间一致的梯度估计。这种机制补偿了BoN对负梯度的欠采样,并实现了对成功和失败轨迹的难度自适应优化。
Another intrinsic property of mathematical reasoning tasks is the partial correctness in long reasoning chains, which further imposes the learning difficulty of sparse rewards when only a binary outcome reward is available at each iteration of RL training. Thus, OREAL adopts a lightweight credit assignment scheme through a token-level reward model trained using outcome rewards. This mechanism automatically estimates step-wise importance weights by decomposing trajectory advantages, enabling focused learning of critical reasoning steps or errors. The integration of these components yields a theoretically sound framework that effectively bridges the gap between sparse binary feedback and dense policy optimization requirements for mathematical reasoning tasks.
数学推理任务的另一个内在特性是长推理链中的部分正确性,这进一步增加了在每次 RL 训练迭代中只有二元结果奖励时稀疏奖励的学习难度。因此,OREAL 通过使用结果奖励训练的 Token 级奖励模型,采用了一种轻量级的信用分配方案。该机制通过分解轨迹优势自动估计逐步重要性权重,从而实现对关键推理步骤或错误的集中学习。这些组件的整合产生了一个理论上合理的框架,有效弥补了数学推理任务中稀疏二元反馈与密集策略优化需求之间的差距。
Extensive experimental results show that OREAL effectively improves the mathematical reasoning capability of LLMs. At the 7B parameter scale, to the best of our knowledge, OREAL-7B is the first to obtain the pass $@1$ accuracy on MATH-500 [21] to 91.0 using RL instead of distillation, which even exceeds QwQ-32B-Preview [22] and o1-mini [10]. OREAL also improves DeepSeekR1-Distilled-Qwen-7B from 92.8 to 94.0 pass $@1$ accuracy, being on par with the previous best 32B models. For the 32B model, OREAL-32B outperforms all previous models (Figure 1), both distilled and RL-based, obtaining new state-of-the-art results with 95.0 pass $@1$ accuracy on MATH-500.
广泛的实验结果表明,ORAL 有效提升了大语言模型的数学推理能力。在 7B 参数规模下,据我们所知,ORAL-7B 首次通过 RL 而非蒸馏方法在 MATH-500 [21] 上达到了 91.0 的 pass $@1$ 准确率,甚至超过了 QwQ-32B-Preview [22] 和 o1-mini [10]。ORAL 还将 DeepSeekR1-Distilled-Qwen-7B 的 pass $@1$ 准确率从 92.8 提升至 94.0,与之前最佳的 32B 模型持平。对于 32B 模型,ORAL-32B 超越了所有先前模型(图 1),无论是基于蒸馏还是 RL 的方法,在 MATH-500 上以 95.0 的 pass $@1$ 准确率取得了新的最先进成果。
2 Methods
2 方法
To obtain a deeper understanding of the challenges when applying reinforcement learning (RL) for solving math word problems, we first analyze the formulation of RL and the intrinsic properties of underlying binary feedback environments (§2.1), and establish a theoretical foundation for our optimization framework about how to learn from positive samples (§2.2) and failure trials (§2.3). To further conquer the learning ambiguity brought by outcome rewards to the partially correct long reasoning chains, we adopt a new strategy to estimate the importance of tokens for learning (§2.4).
为了更深入地理解在解决数学应用题时应用强化学习 (RL) 所面临的挑战,我们首先分析了 RL 的公式化表达以及底层二元反馈环境的固有特性 (§2.1),并建立了关于如何从正样本 (§2.2) 和失败尝试 (§2.3) 中学习的优化框架的理论基础。为了进一步克服结果奖励对部分正确的长推理链带来的学习模糊性,我们采用了一种新策略来评估 token 对学习的重要性 (§2.4)。
2.1 Preliminary
2.1 初步准备
When adopting a large language model (LLM) for mathematic reasoning, the input to the LLM policy is a textual math problem that prompts the LLM to output a multi-step reasoning trajectory consisting of multiple tokens as actions. During RL training, common practices [6, 23] conduct sampling on the LLM to produce multiple reasoning trajectories, assign binary feedback (0/1 reward) based solely on the correctness of their final answer, and perform corresponding policy optimization using the sampled trajectories with reward.
在采用大语言模型 (LLM) 进行数学推理时,LLM 策略的输入是一个文本形式的数学问题,提示 LLM 输出由多个 Token 组成的多步推理轨迹作为动作。在 RL 训练期间,常见的做法 [6, 23] 对 LLM 进行采样以生成多个推理轨迹,仅根据其最终答案的正确性分配二元反馈 (0/1 奖励),并使用带有奖励的采样轨迹执行相应的策略优化。
Policy Optimization. Consider a Markov Decision Process (MDP) defined by the tuple $(S,\mathcal{A},P,\bar{r},\gamma)$ , where $\boldsymbol{S}$ is a finite state space (e.g., contextual steps in mathematical reasoning), $\boldsymbol{\mathcal{A}}$ is the action space (i.e. the token space of LLMs), $P(s^{\prime}|s,a)$ specifies the state transition dynamics, $r:S\times A\to\mathbb{R}$ is the reward function, and $\gamma\in[0,1)$ denotes the discount factor.
策略优化。考虑一个由元组 $(S,\mathcal{A},P,\bar{r},\gamma)$ 定义的马尔可夫决策过程 (MDP),其中 $\boldsymbol{S}$ 是有限状态空间(例如,数学推理中的上下文步骤),$\boldsymbol{\mathcal{A}}$ 是动作空间(即大语言模型的 Token 空间),$P(s^{\prime}|s,a)$ 指定了状态转移动态,$r:S\times A\to\mathbb{R}$ 是奖励函数,$\gamma\in[0,1)$ 表示折扣因子。
In this section, we focus on KL-regularized policy optimization, which maximizes the expected cumulative returns while regularizing the policy $\pi_{\theta}(\cdot|s)$ toward a reference policy $\pi_{0}(\cdot|s)$ . The objective function is formulated as:
在本节中,我们专注于 KL 正则化的策略优化,它最大化期望累计回报的同时,将策略 $\pi_{\theta}(\cdot|s)$ 正则化至参考策略 $\pi_{0}(\cdot|s)$。目标函数表示为:

with the state-action value function $\begin{array}{r}{Q^{\pi}(s,a)=\mathbb{E}{\pi}\left[\sum{k=0}^{\infty}\gamma^{k}r(s_{t+k},a_{t+k})\mid s_{t}=s,a_{t}=a\right]}\end{array}$ under vanilla policy $\pi$ . This objective admits a closed-form solution for optimal policy $\pi^{*}$ :
使用状态-动作值函数 $\begin{array}{r}{Q^{\pi}(s,a)=\mathbb{E}{\pi}\left[\sum{k=0}^{\infty}\gamma^{k}r(s_{t+k},a_{t+k})\mid s_{t}=s,a_{t}=a\right]}\end{array}$ 在普通策略 $\pi$ 下。该目标允许最优策略 $\pi^{*}$ 的闭式解:

where $Z(s)=\mathbb{E}{a\sim\pi{0}(\cdot|s)}\left[\exp\left(Q^{\pi}(s,a)/\alpha\right)\right]$ is the partition function that ensures normalization.
其中 $Z(s)=\mathbb{E}{a\sim\pi{0}(\cdot|s)}\left[\exp\left(Q^{\pi}(s,a)/\alpha\right)\right]$ 是确保归一化的配分函数。
Best-of-N $(\bf{B o N})$ Sampling. As a common and efficient strategy to sample multiple reasoning trajectories from LLMs, Best-of $.N$ sampling selects the trajectory with maximal reward among $n$ independent rollouts from $\pi_{0}$ to enhance policy performance. Formally, given candidate actions ${a^{(i)}}{i=1}^{n}\sim\pi{0}(\cdot|s)$ , the chosen action is $a^{},=,\arg\operatorname{max}_{a^{(i)}}$ $Q(s,a^{(i)})$ . This strategy effectively leverages the exploration-exploitation trade-off through parallel sampling [24, 25].
Best-of-N $({\bf B o N})$ 采样
Binary Feedback under Outcome Supervision. Though a reasoning trajectory usually contains multiple reasoning steps with thousands of tokens, there lacks an efficient approach to automatically label the correctness of each token or reasoning step in math reasoning tasks. Thus, a practical way is to parse the final answer from the reasoning trajectory [13, 26], evaluate its correctness based on rules or models, and then provide an outcome reward at the end of the trajectory as below:
结果监督下的二元反馈

which intrinsically treats the correct trajectory equally for learning. Moreover, the reward signal is severely sparse when compared to the thousands of tokens and does not provide any signal of progress or correctness for intermediate steps. The resulting reward distribution of trajectories is also different from that of the dense reward function constructed through preference pairs in traditional RL for large language models [27], which induces a more appropriate optimization framework for mathematical reasoning tasks, discussed in the next section.
这本质上将正确的轨迹视为同等重要的学习对象。此外,与数千个Token相比,奖励信号极其稀疏,并且无法为中间步骤提供任何进展或正确性的信号。生成的轨迹奖励分布也不同于通过偏好对构建的密集奖励函数,后者为大语言模型[27]的传统强化学习提供了更合适的数学推理任务优化框架,这将在下一节中讨论。
2.2 Learning from Positive Samples
2.2 从正样本中学习
Building upon the reward equivalence principle stated in Eq. 3, we first formalize a key probabilistic characteristic of BoN sampling:
基于公式 3 所述的奖励等价原则,我们首先形式化 BoN 采样的一个关键概率特征:
Lemma 2.1. Let $\pi(\theta,s)$ be a distribution over parameters $\theta$ and trajectory s, where each s is associated with a binary reward $R(s)\in{0,1}$ . Define $p\triangleq\mathbb{E}_{s\sim\pi(\theta,\cdot)}[R(s)=1]>0$ . Consider the BoN sampling: $n=n_{0}\to\infty$ and sample ${s_{1},s_{2},\ldots,s_{n}}$ i.i.d. from $\pi_{\theta}$ . BoN selects $s^{*}$ uniformly from the subset with R(si) = 1. We have that, The probability of selecting s∗is converge to π(θp,s), which is independent of $n$ .
引理 2.1. 设 $\pi(\theta,s)$ 为参数 $\theta$ 和轨迹 s 的分布,其中每个 s 与一个二元奖励 $R(s)\in{0,1}$ 相关联。定义 $p\triangleq\mathbb{E}_{s\sim\pi(\theta,\cdot)}[R(s)=1]>0$。考虑 BoN 采样:$n=n_{0}\to\infty$ 并从 $\pi_{\theta}$ 中独立同分布地采样 ${s_{1},s_{2},\ldots,s_{n}}$。BoN 从 R(si) = 1 的子集中均匀选择 $s^{*}$。我们有,选择 s∗ 的概率收敛于 $\pi(\theta p,s)$,且与 $n$ 无关。
The proof follows directly from the union law of BoN sampling $(\mathrm{BoN}{n+m}=\mathrm{BoN}{2}(\mathrm{BoN}{m},\mathrm{BoN}{n}))$ and the trivial distinguish ability of $0-1$ rewards. This result reveals that for problems with attainable positive responses, we are using a BoN generator with an arbitrary sampling budget to construct the positive training samples.
证明直接来源于BoN采样的联合律 $(\mathrm{BoN}{n+m}=\mathrm{BoN}{2}(\mathrm{BoN}{m},\mathrm{BoN}{n}))$ 以及 $0-1$ 奖励的平凡区分能力。这一结果表明,对于可获得积极响应的问题,我们使用具有任意采样预算的BoN生成器来构建积极的训练样本。
To quantify the distribution al divergence induced by BoN sampling, prior work [28–30] has analyzed the KL divergence between the BoN distribution $\pi_{\mathrm{BoN}}$ and the original policy $\pi$ . For continuous trajectory spaces $\boldsymbol{S}$ , the BoN distribution admits the explicit form:
为了量化由 BoN 采样引起的分布差异,先前的研究 [28–30] 已经分析了 BoN 分布 $\pi_{\mathrm{BoN}}$ 与原始策略 $\pi$ 之间的 KL 散度。对于连续轨迹空间 $\boldsymbol{S}$,BoN 分布具有以下显式形式:

where $P(s)$ denotes the cumulative distribution function (CDF) associated with $\pi(s)$ . The corresponding KL divergence is given by
其中 $P(s)$ 表示与 $\pi(s)$ 相关的累积分布函数 (CDF)。对应的 KL 散度由下式给出

The KL divergence expression possesses two crucial properties, as $n\to\infty$ , the $\mathrm{KL}(\pi_{\mathrm{BoN}}\parallel\pi)$ is strictly increasing in $n$ for $n\geq1$ , and converge to $\log n\to\infty$ , covering the entire positive real axis. This implies that for any prescribed KL divergence constraint $\epsilon,>,0$ , there exists a BoN parameter iz ation for approximating the optimal policy, and can be simply sampled with the minimal $\bar{n}(\epsilon)$ satisfying that
KL 散度表达式具有两个关键性质,当 $n\to\infty$ 时,$\mathrm{KL}(\pi_{\mathrm{BoN}}\parallel\pi)$ 在 $n\geq1$ 时严格递增,并收敛到 $\log n\to\infty$,覆盖整个正实数轴。这意味着对于任何给定的 KL 散度约束 $\epsilon,>,0$,存在一个 BoN 参数化来近似最优策略,并且可以通过满足 $\bar{n}(\epsilon)$ 的最小值进行简单采样。

BoNBoN [31] empirically shows that BoN sampling achieves the optimal win rate under fixed KL constraint by exhaustive search over the positive support. Therefore, the behavior cloning on BoN-selected positive samples directly learns the analytic solution to Eq. 1. Intuitively, since every correct answer is preferred identically in the outcome-supervised sense, we only need to sample until we get a positive example, whose generating probability distribution will be the same as randomly picking from arbitrarily large numbers of samples.
BoNBoN [31] 通过实验表明,BoN采样通过对正样本支持集的穷举搜索,在固定的KL约束下实现了最优胜率。因此,在BoN选择的正样本上进行行为克隆,直接学习到了公式1的解析解。直观上,由于在结果监督的意义上每个正确答案都被同等偏好,我们只需要采样直到获得一个正样本,其生成的概率分布将等同于从任意大量样本中随机选取。
Based on the theoretical understanding established, we formulate the first component of the learning objective in OREAL by incorporating KL-constrained max-likelihood-objective over positive examples obtained through sampling:
基于已建立的理论理解,我们通过结合对通过采样获得的正例进行KL约束的最大似然目标,制定了OREAL中学习目标的第一个组成部分:

where $\mathcal{D}^{+}$ denotes the set of positive trajectories selected via BoN sampling from RL rollouts.
其中 $\mathcal{D}^{+}$ 表示通过从RL rollout中进行BoN采样选择的正向轨迹集合。
2.3 Learning from Negative Samples
2.3 从负样本中学习
As established in Section 2.2, direct behavioral cloning on positive responses can effectively recover the policy distribution. BOND [32] proposes estimating Jeffreys divergence [33] for the BoN strategy to train with both positive and negative samples, and demonstrates that signals from unsuccessful trajectories provide critical information about decision boundaries and failure modes.
正如第2.2节所述,直接对积极响应进行行为克隆可以有效恢复策略分布。BOND [32] 提出估计 BoN 策略的 Jeffreys 散度 [33],以便同时使用正负样本进行训练,并证明了不成功轨迹中的信号提供了关于决策边界和失败模式的关键信息。
In this section, we will discuss the relationship between the BoN (Best-of-N) distribution and the optimization objective defined in Eq. 1, then elucidate the necessity of reward reshaping when training with negative samples. Notably, while Eq. 4 shares structural similarities with Eq. 2, its application to mathematical reasoning tasks with binary feedback requires reformulation. Specifically, the transformed BoN distribution can be expressed as
在本节中,我们将讨论 BoN(Best-of-N)分布与式 1 中定义的优化目标之间的关系,然后阐明在使用负样本进行训练时奖励重塑的必要性。值得注意的是,虽然式 4 与式 2 在结构上具有相似性,但在应用于具有二元反馈的数学推理任务时需要重新表述。具体而言,转换后的 BoN 分布可以表示为

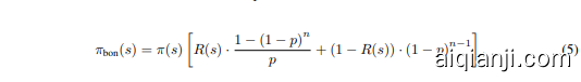
which reveals fundamental differences between the BoN distribution and the original sampling distribution. Consider a scenario where two correct and two incorrect solutions are sampled, yielding an empirical accuracy of $50%$ . However, the probability of selecting negative samples under Bestof-4 becomes $(0.5)^{4},{}=6.25%$ , significantly lower than the original distribution. This discrepancy necessitates reward shaping to maintain consistency between our optimization target and the expected return under the BoN distribution.
这揭示了 BoN 分布与原始采样分布之间的根本差异。考虑一个场景,其中采样了两个正确和两个错误的解决方案,产生的经验准确率为 $50%$。然而,在 Bestof-4 下选择负样本的概率为 $(0.5)^{4},{}=6.25%$,显著低于原始分布。这种差异需要通过奖励调整来保持我们的优化目标与 BoN 分布下的预期回报之间的一致性。
Building on BoN-RLB’s [34] application of the log-likelihood trick for BoN-aware policy gradients, we analyze the reward shaping technic for negative samples to maintain gradient consistency with Section 2.2. With expectation return $p$ follow the definition in Lemma 2.1. The policy gradient under the BoN distribution can be derived as
基于 BoN-RLB [34] 应用对数似然技巧进行 BoN 感知的策略梯度,我们分析了负样本的奖励塑造技术,以保持与第 2.2 节的梯度一致性。期望回报 $p$ 遵循引理 2.1 中的定义。BoN 分布下的策略梯度可以推导为

where $I_{D_{+}}(s)$ and $I_{D_{-}}(s)$ denote indicator functions for positive and negative sample sets respectively. Notably, these indicators are independent of policy parameters $\theta$ . Given $\mathbb{E}{s\sim\pi{\mathrm{bon}}}[I_{D_{+}}(s)]=$ $1-{\dot{(}}1-p)^{n}$ , we derive the gradient components as
其中 $I_{D_{+}}(s)$ 和 $I_{D_{-}}(s)$ 分别表示正样本集和负样本集的指示函数。值得注意的是,这些指示函数与策略参数 $\theta$ 无关。给定 $\mathbb{E}{s\sim\pi{\mathrm{bon}}}[I_{D_{+}}(s)]=$ $1-{\dot{(}}1-p)^{n}$ ,我们推导出梯度分量为

Similarly, we also have
同样地,我们也有

This derivation reveals that when assigning unit reward $(R(s)=1)$ ) to positive samples, gradient consistency requires reshaping negative sample rewards to $R^{\star}(s)\triangleq(1-p)R(s)$ . Based on this reward shaping, we can construct policy optimization both on positive and negative samples for optimal policy.
该推导揭示,当对正样本分配单位奖励 $(R(s)=1)$ 时,梯度一致性要求将负样本奖励重塑为 $R^{\star}(s)\triangleq(1-p)R(s)$ 。基于这种奖励重塑,我们可以在正样本和负样本上构建策略优化,以获得最优策略。
To obtain the parameter $1-p$ which can be linked to the Monte-Carlo (MC) advantage estimation, we can simply estimate that probability by calculating the expected accuracy on the sample space by counting a small number of responses. In this paper we apply a similar setting to RLOO [35], namely RRLOO(s) = R(s) −N1−1 s⋆̸=s R for unbiased mean reward and train with policy gradient. The second part of our OREAL objective is then formulated as below:
为了获得与蒙特卡罗(MC)优势估计相关的参数 $1-p$,我们可以通过计算样本空间上的期望准确率来简单估计该概率,只需统计少量响应即可。本文采用了与RLOO [35] 相似的设置,即RRLOO(s) = R(s) −N1−1 s⋆̸=s R,用于无偏均值奖励并使用策略梯度进行训练。我们OREAL目标的第二部分公式如下:

where $p=\mathbb{P}{\theta\sim\pi}[R(\theta)=1],,S{-}$ is the failed subset generated by policy model, and $F$ represents the preprocessing for advantage scores to serve as a generalized form, for example, $\begin{array}{r}{F(1-p)\triangleq}\end{array}$ $\frac{r_{i}-\bar{m}e a\bar{n}({r_{i}...r_{n}})}{s t d({r_{i}...r_{n}})}$ in the recent GRPO [6] algorithm, where $m e a n({r_{i}...r_{n}})\to p$ when $n\to\infty$ .
其中 $p=\mathbb{P}{\theta\sim\pi}[R(\theta)=1],,S{-}$ 是由策略模型生成的失败子集,$F$ 代表对优势分数进行预处理的广义形式,例如在最近的 GRPO [6] 算法中,$\begin{array}{r}{F(1-p)\triangleq}\end{array}$ $\frac{r_{i}-\bar{m}e a\bar{n}({r_{i}...r_{n}})}{s t d({r_{i}...r_{n}})}$,其中当 $n\to\infty$ 时,$m e a n({r_{i}...r_{n}})\to p$。
2.4 Dealing with Long Reasoning Chains
2.4 处理长推理链
In the previous discussion, we introduced the adaptation of binary reward training in response space. However, since the outcome supervision only provides feedback at the sequence level, this modeling essentially reduces to a contextual bandit without internal reward modeling within the
在之前的讨论中,我们介绍了在响应空间中适应二元奖励训练的方法。然而,由于结果监督仅在序列级别提供反馈,这种建模本质上简化为一种情境赌博机,而没有在内部进行奖励建模。
MDP. A common counterexample is PPO, which utilizes a separate critic model to estimate the value function. However, such a solution appears to be expensive and complex, which has induced numerous explorations on how to stabilize the PPO training.
MDP。一个常见的反例是 PPO,它使用一个独立的 critic 模型来估计价值函数。然而,这种解决方案显得昂贵且复杂,这引发了许多关于如何稳定 PPO 训练的探索。
Things become slightly different in mathematical reasoning, where the model can spontaneously revise omissions in intermediate steps to obtain the correct final answer. Therefore, outcome supervision is preferred, and the value function is more meant to be a simple credit assignment to determine how much the process step contributes to the outcome reward. With efficiency and performance trade-off considerations, we choose to use some low-cost alternatives for sequence-level re weighting.
在数学推理中,情况略有不同,模型可以自发修正中间步骤中的遗漏,从而获得正确的最终答案。因此,结果监督更受青睐,而价值函数更倾向于作为一种简单的信用分配机制,用于确定过程步骤对结果奖励的贡献程度。考虑到效率和性能的权衡,我们选择使用一些低成本替代方案进行序列级别的重新加权。
Taking into account the deterministic dynamics in mathematical reasoning $(s_{t+1}=f(s_{t},a_{t}))$ , the state-action function $Q^{\pi}(s_{<t},\pi(s_{t}))$ simplifies to the cumulative discounted reward of policy $\pi$ :
考虑到数学推理中的确定性动态 $(s_{t+1}=f(s_{t},a_{t}))$,状态-动作函数 $Q^{\pi}(s_{<t},\pi(s_{t}))$ 简化为策略 $\pi$ 的累积折现奖励:

Since intermediate rewards are not provided in mathematical reasoning tasks, we define an advantage function based solely on outcome feedback:
由于数学推理任务中不提供中间奖励,我们仅根据结果反馈定义了一个优势函数:

This formulation treats $A(s_{\leq t})$ as a token-wise credit assignment mechanism, estimating each token’s contribution toward the final outcome.
该公式将 $A(s_{\leq t})$ 视为一种 token 级别的信用分配机制,用于估计每个 token 对最终结果的贡献。
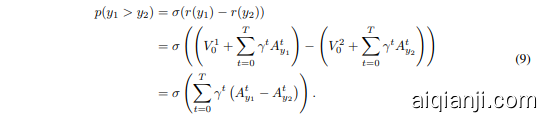
For a pair of responses $y_{1}$ and $y_{2}$ to the same query, their initial values coincide $V_{0}^{1}=V_{0}^{2}$ . The win rate between them then satisfies:
对于同一查询的一对响应 $y_{1}$ 和 $y_{2}$,它们的初始值重合 $V_{0}^{1}=V_{0}^{2}$。它们之间的胜率满足:

Equation 9 indicates that for any function family $A={A(s_{\leq t})}$ , a cumulative reward function through sequence aggregation can be constructed to model rewards:
公式9表明,对于任何函数族 $A={A(s_{\leq t})}$,都可以通过序列聚合构建一个累积奖励函数来建模奖励:

which is trainable via preference pairs ${(y_{w},y_{l})}$ by fitting the outcome feedback. The learned $A(s_{\leq t})$ serves as a weighting function for credit assignment, which is used to reweight the original training loss, emphasizing critical reasoning steps or errors. An analogous implementations is $r2Q^{*}$ [36, 37] by defining A = logππre(f(yyii)), PRIME [20] then apply this formulation to improve performance of RLOO. In our work, following the practice from [38], we directly train a token-level reward function $w(s_{\leq t})$ satisfying
其通过偏好对 ${(y_{w},y_{l})}$ 进行训练,以拟合结果反馈。学习到的 $A(s_{\leq t})$ 作为信用分配的权重函数,用于重新加权原始训练损失,强调关键推理步骤或错误。类似的实现是 $r2Q^{*}$ [36, 37],通过定义 A = logππre(f(yyii)),PRIME [20] 随后应用此公式来提升 RLOO 的性能。在我们的工作中,遵循 [38] 的做法,直接训练一个满足以下条件的 token 级奖励函数 $w(s_{\leq t})$

without constraining KL-divergence to reference model in reward model training. These sequential rewards can serve as a proxy for the contribution of thinking steps to the result accuracy. Assuming a pair of prefix-consistent correct and incorrect samples, due to the causal inference nature of the token-level reward model, the preference optimization for these samples will only function on the steps that have different contents, which induces higher credits on the core reasoning step that affects the final result. We further discuss the training details of this model and analyze the visualization of its token-wise scoring effects later in Section 3.2 and Appendix A.
在奖励模型训练中不限制 KL 散度到参考模型。这些顺序奖励可以作为思考步骤对结果准确性贡献的代理。假设一对前缀一致的正确和错误样本,由于 Token 级奖励模型的因果推理性质,这些样本的偏好优化仅在不同的步骤上起作用,这会在影响最终结果的核心推理步骤上诱导更高的信用。我们将在第 3.2 节和附录 A 中进一步讨论该模型的训练细节,并分析其 Token 级评分效果的可视化。
In practice, we decompose the output weight $w(s)$ for positive and negative samples and clip on the positive axis to prevent reversing the direction of the optimized gradient, denoted as $\omega^{+}$ and $\omega^{-}$ :
在实践中,我们将正负样本的输出权重 $w(s)$ 分解,并在正轴上进行裁剪,以防止优化梯度的方向反转,分别表示为 $\omega^{+}$ 和 $\omega^{-}$:
Giving input query $d$ , the overall loss is as follows:
给定输入查询 $d$,总体损失如下:

where $\eta$ represents the balancing weights for positive and negative losses.
其中 $\eta$ 表示正负损失的平衡权重。
3 Implementation
3 实现
3.1 Policy Initialization
3.1 策略初始化
We utilize Qwen2.5-7B and Qwen2.5-32B [39] as the base model. Initially, we fine-tune the base models using long chain-of-thought data obtained through rejection sampling [23]. This rejection sampling fine-tuned (RFT) [23] models then serve as the initialization for the policy model in our RL framework. We also explore to use of DeepSeek-R1-Distill-Qwen-7B [13] as the initial policy model and perform OREAL on it and discuss the influence of different initial policy models in Section 4.4. The training data for the RFT models consists of in-house datasets supported by Open Data Lab [40] and open-source datasets including Numina [41] and the training set of MATH [21].
我们使用 Qwen2.5-7B 和 Qwen2.5-32B [39] 作为基础模型。首先,我们通过拒绝采样 (rejection sampling) [23] 获得的长链思维数据对基础模型进行微调。这些经过拒绝采样微调 (RFT) [23] 的模型随后作为我们强化学习框架中策略模型的初始化。我们还探索使用 DeepSeek-R1-Distill-Qwen-7B [13] 作为初始策略模型,并在其上进行 OREAL 训练,并在第 4.4 节中讨论了不同初始策略模型的影响。RFT 模型的训练数据包括由 Open Data Lab [40] 支持的内部数据集以及开源数据集,如 Numina [41] 和 MATH 的训练集 [21]。
3.2 Reinforcement Learning
3.2 强化学习
Data Preparation. During the on-policy RL process, we utilize questions from Numina, MATH training sets, and historical AMC/AIME (without AIME2024) competitions. For each question, we independently sample 16 trajectories from the RFT models. The correctness of each trajectory is then averaged to estimate the correctness rate of each query. To increase the difficulty of training queries, only questions with correctness rates between 0 and 0.8 are retained for further training.
数据准备。在策略强化学习过程中,我们利用来自Numina、MATH训练集以及历史AMC/AIME(不包括AIME2024)竞赛的问题。对于每个问题,我们从RFT模型中独立采样16条轨迹。然后,对每条轨迹的正确性进行平均,以估计每个查询的正确率。为了增加训练查询的难度,仅保留正确率在0到0.8之间的问题用于进一步训练。
Outcome Reward Signal. We employ the Qwen2.5-72B-Instruct [39] as a generative verifier, in conjunction with a rule-based verifier, to evaluate the correctness of the model’s outputs and provide binary rewards. This combination enhances the robustness of correctness assessment, mitigating issues related to the false negative of the rule-based verifier.
结果奖励信号。我们采用 Qwen2.5-72B-Instruct [39] 作为生成式验证器,结合基于规则的验证器,来评估模型输出的正确性并提供二元奖励。这种组合增强了正确性评估的鲁棒性,缓解了基于规则的验证器假阴性问题。
Training Token-level Reward Model. For the token-level reward model, we directly use the binary outcome rewards provided by the verifier and optimize using the cross-entropy loss:
训练Token级奖励模型
对于Token级奖励模型,我们直接使用验证器提供的二元结果奖励,并通过交叉熵损失进行优化:

where $s$ represents the sampled trajectory, $r\in{0,1}$ is the binary outcome reward from the verifier, and $\begin{array}{r}{p(s),=,\sigma(\frac{1}{T}\sum_{t}^{T}w(s_{t}))}\end{array}$ denotes the predicted probability of correctness by the token-level reward model $w$ .
其中 $s$ 表示采样的轨迹,$r\in{0,1}$ 是来自验证器的二元结果奖励,而 $\begin{array}{r}{p(s),=,\sigma(\frac{1}{T}\sum_{t}^{T}w(s_{t}))}\end{array}$ 表示由 Token 级别的奖励模型 $w$ 预测的正确概率。
To further analyze the behavior of the token-level reward model, we visualize its output distribution $w(s_{t})$ during the on-policy RL training process (see Appendix A). In this training paradigm, $w!\left(s_{t}\right)$ assigns token-wise importance scores across the chain-of-thought reasoning process, capturing each token’s contribution to the final correctness of the generated response. Consequently, this allows us to leverage $w!\left(s_{t}\right)$ for importance sampling during the optimization process, enabling a more principled selection of informative tokens.
为了进一步分析Token级别奖励模型的行为,我们可视化了其在策略RL训练过程中的输出分布 $w(s_{t})$(见附录A)。在这一训练范式中,$w!\left(s_{t}\right)$ 在思维链推理过程中为每个Token分配重要性分数,捕捉每个Token对生成响应最终正确性的贡献。因此,这使得我们能够在优化过程中利用 $w!\left(s_{t}\right)$ 进行重要性采样,从而实现更有原则地选择信息丰富的Token。
Training Algorithm. The loss function for the policy model follows the formulation described in Section 2. The complete RL training procedure is described in Algorithm 1.
训练算法。策略模型的损失函数遵循第2节中描述的公式。完整的强化学习训练过程在算法1中描述。
Hyper parameters. The policy model is initialized from the RFT model. Similarly, the token-level reward model is also initialized with the same weights, but its output layer is replaced with a linear
超参数。策略模型从RFT模型初始化。同样,Token级别的奖励模型也使用相同的权重进行初始化,但其输出层被替换为线性层。
layer that produces a one-dimensional scalar. The weights of this layer are initialized to zero to ensure unbiased importance sampling weight at the start of training.
生成一维标量的层。该层的权重初始化为零,以确保训练开始时的重要性采样权重无偏。
During training iterations, each batch consists of 64 questions, with 16 rollouts per question. The max length of each rollout trajectory is set to 16384 tokens. Then the correctness of each response is averaged to calculate the pass rate, and questions with an overall pass rate of 0 or 1 are discarded. For the remaining trajectories, we retain only one correct response and one incorrect response per question, ensuring a balanced distribution of positive and negative samples for token-level reward model training.
在训练迭代过程中,每个批次包含64个问题,每个问题有16次rollout。每次rollout轨迹的最大长度设置为16384个token。然后,计算每个回答的正确性并取平均值以计算通过率,整体通过率为0或1的问题将被丢弃。对于剩余的轨迹,我们每个问题只保留一个正确回答和一个错误回答,以确保在token级奖励模型训练中正负样本的均衡分布。
For optimization, the policy model is trained with a learning rate of $5e!-!7$ , while the token-level reward model is trained with a learning rate of $2e{-6}$ . The latter undergoes a 10-step warm-up phase before training begins. Both models employ a cosine annealing learning rate schedule, decaying to $1/5$ of the initial learning rate over time. We optimize both models using the AdamW optimizer. The total number of training steps is 80, with evaluation conducted every 10 steps. The KL coefficient $\beta$ is set to 0.01. We select the best-performing model determined by evaluation metrics.
在优化过程中,策略模型的学习率设置为 $5e!-!7$,而 Token 级别的奖励模型的学习率设置为 $2e{-6}$。后者在训练开始前会经历 10 步的预热阶段。两个模型均采用余弦退火学习率调度,学习率随时间衰减至初始学习率的 $1/5$。我们使用 AdamW 优化器对两个模型进行优化。总训练步数为 80 步,每 10 步进行一次评估。KL 系数 $\beta$ 设置为 0.01。我们根据评估指标选择表现最好的模型。
3.3 Skill-based Enhancement
3.3 基于技能的增强
During the RL training procedure, we observe that the model consistently struggles with certain types of questions, particularly those involving specific knowledge and skill areas, such as trigonometric constant transformations, probability statistics, series transformations, etc. We believe this is caused by the insufficient learning of the base model on these concepts in the Pre-training or RFT stages.
在 RL 训练过程中,我们观察到模型始终在某些类型的问题上表现不佳,特别是那些涉及特定知识和技能领域的问题,例如三角函数常数变换、概率统计、级数变换等。我们认为这是由于基础模型在预训练或 RFT 阶段对这些概念的学习不足所导致的。
To address this problem, we implement a skill-based enhancement approach, using the MATH dataset to reduce the high cost of skill annotation. Specifically, we annotate each question in the training set with its corresponding core skill. For questions that the model repeatedly fails to answer correctly during the RL phase, we perform data augmentation by including similar questions from the training set that share the same skill. These augmented questions are then added to the training data during the RFT stage to help the model better internalize these skills.
为了解决这个问题,我们实施了一种基于技能的增强方法,使用MATH数据集来降低技能标注的高成本。具体来说,我们对训练集中的每个问题标注其对应的核心技能。对于在强化学习阶段模型反复无法正确回答的问题,我们通过从训练集中包含相同技能的类似问题来进行数据增强。这些增强的问题随后被添加到RFT(强化微调)阶段的训练数据中,以帮助模型更好地内化这些技能。
4 Experiment
4 实验
4.1 Evaluation Setup
4.1 评估设置
Baseline. We conduct evaluations against several baselines, including GPT-4o-0513 [42], ClaudeSonnet-3.5-1022 [43], OpenAI-o1-mini, OpenAI-o1-preview [10], Qwen2.5-Instrust-7B, Qwen2.5- Math-Instrust-7B, Qwen2.5-Instrust-32B [39], QwQ-32B-Preview [22], DeepSeek-R1-Distill-Qwen7B, DeepSeek-R1-Distill-Qwen-32B [13], SimpleRL [44], PRIME [20], rStarMath [45]. For part of the baseline, we directly use the results from their report, which we mark with *.
基线。我们进行了多项基线评估,包括 GPT-4o-0513 [42]、ClaudeSonnet-3.5-1022 [43]、OpenAI-o1-mini、OpenAI-o1-preview [10]、Qwen2.5-Instrust-7B、Qwen2.5-Math-Instrust-7B、Qwen2.5-Instrust-32B [39]、QwQ-32B-Preview [22]、DeepSeek-R1-Distill-Qwen7B、DeepSeek-R1-Distill-Qwen-32B [13]、SimpleRL [44]、PRIME [20]、rStarMath [45]。对于部分基线,我们直接使用了他们报告中的结果,并用 * 标记。
Table 1: Overall evaluation results for OREAL and each baseline. “OREAL-DSR1-Distill-Qwen-7B” denotes the DeepSeek-R1-Distill-Qwen7B trained by OREAL. “AIME2025-I”, “LiveMath” and “Olympiad” represent “AIME 2025 Part1”, “Live Math Bench”, and “Olympiad Bench”, respectively. For models at the parameter scale of 7B and 32B, we use Bold and Underlined to represent the best and second best performance, respectively. For part of the baseline, we directly use the results from their report, marked with *.
表 1: OREAL 与各基线的整体评估结果。“OREAL-DSR1-Distill-Qwen-7B”表示由 OREAL 训练的 DeepSeek-R1-Distill-Qwen7B。“AIME2025-I”、“LiveMath”和“Olympiad”分别代表“AIME 2025 Part1”、“Live Math Bench”和“Olympiad Bench”。对于参数规模为 7B 和 32B 的模型,我们使用加粗和下划线分别表示最佳和次佳性能。对于部分基线,我们直接使用其报告中的结果,并标记为*。
Benchmark. We use some well-established mathematical datasets for evaluation, including MATH500 [21], AIME2024 [46], AIME2025 (Part1) [46], LiveMathBench [47], and OlympiadBench [48].
基准测试。我们使用一些成熟的数学数据集进行评估,包括 MATH500 [21]、AIME2024 [46]、AIME2025 (Part1) [46]、LiveMathBench [47] 和 OlympiadBench [48]。
Metrics. We use pass $@1$ as the metric for evaluation under the zero-shot chain-of-thought setting and use greedy decoding for each sample to assess correctness using Open Compass [49].
指标。我们使用 pass $@1$ 作为零样本思维链设置下的评估指标,并对每个样本使用贪婪解码,通过 Open Compass [49] 评估正确性。
4.2 Overall Results
4.2 总体结果
Tabel 1 shows the results of the comprehensive evaluation, highlighting the performance of our proposed models across different parameter scales. Notably, at the 7B scale, OREAL-7B achieves a remarkable pass $@1$ accuracy of 91.0 on the MATH-500 and 59.9 on Olympiad Bench. To the best of our knowledge, this is the first time a model of this size has reached such a high level of accuracy using RL instead of distillation. This performance not only establishes a new milestone for RL-based methods but also surpasses significantly larger models, including QwQ-32B-Preview and OpenAI-o1- mini, demonstrating the effectiveness of our approach. Furthermore, after applying OREAL on the previous best 7B model, DeepSeek-R1-Distill-Qwen-7B, the resulting model, OREAL-DSR1-DistillQwen-7B, obtains 94.0 and 66.1 pass $@1$ accuracy on MATH-500 and Olympiad Bench, respectively, setting new records among all 7B models. This result verifies the effectiveness of OREAL even when faced with strong initial policies.
表 1 展示了综合评估的结果,突出了我们提出的模型在不同参数规模下的表现。值得注意的是,在 7B 规模下,OREAL-7B 在 MATH-500 上达到了 91.0 的 pass $@1$ 准确率,在 Olympiad Bench 上达到了 59.9。据我们所知,这是首次有这种规模的模型通过 RL 而非蒸馏达到如此高的准确率。这一表现不仅为基于 RL 的方法树立了新的里程碑,还显著超越了包括 QwQ-32B-Preview 和 OpenAI-o1-mini 在内的更大模型,展示了我们方法的有效性。此外,在将 OREAL 应用于之前最佳的 7B 模型 DeepSeek-R1-Distill-Qwen-7B 后,得到的模型 OREAL-DSR1-DistillQwen-7B 在 MATH-500 和 Olympiad Bench 上分别获得了 94.0 和 66.1 的 pass $@1$ 准确率,在所有 7B 模型中创下新纪录。这一结果验证了 OREAL 即使在面对强大的初始策略时仍然有效。
For 32B models, OREAL-32B achieves a groundbreaking pass $@1$ accuracy of 95.0 on MATH-500, 46.7 on AIME2025-I, 74.8 on Live Math Bench, and 72.4 on Olympiad Bench, setting a new stateof-the-art among all previously reported models. These results underscore the advantages of our methodology, including its s cal ability for training superior mathematical reasoning models across different model sizes.
对于 32B 模型,OREAL-32B 在 MATH-500 上取得了突破性的 pass $@1$ 准确率 95.0,在 AIME2025-I 上为 46.7,在 Live Math Bench 上为 74.8,在 Olympiad Bench 上为 72.4,在所有先前报告的模型中创下了新的最先进水平。这些结果突显了我们方法的优势,包括其在不同模型规模下训练优秀数学推理模型的可扩展性。
Compared to the most competitive baseline, DeepSeek-R1-Distill-Qwen series, OREAL-32B demonstrates a clear advantage, whereas OREAL-7B lags slightly behind than the distilled 7B model, despite being trained on the same dataset as OREAL-32B. We attribute this discrepancy to the different affinities of the base models for the post-training data. Qwen-7B and Qwen-32B may exhibit varying
与最具竞争力的基线 DeepSeek-R1-Distill-Qwen 系列相比,OREAL-32B 表现出明显优势,而 OREAL-7B 尽管与 OREAL-32B 在同一数据集上训练,但仍略逊于蒸馏后的 7B 模型。我们将这种差异归因于基础模型对训练后数据的不同亲和力。Qwen-7B 和 Qwen-32B 可能表现出不同的
| 设置 | MATH-500 |
|---|---|
| 初始策略 | 84.8 |
| +REINFORCE(基线) | 85.8 |
| + 奖励塑形 | 86.6 |
| + 行为克隆 | 87.6 |
| + 重要性采样 | 89.0 |
| +基于技能的增强 | 91.0 |
Table 2: Ablation study for 7B models performance on MATH-500 with different reinforcement learning settings.
表 2: 不同强化学习设置下 7B 模型在 MATH-500 上的消融研究。

Figure 2: Average test accuracy of 7B models across different training steps.
图 2: 7B 模型在不同训练步骤下的平均测试准确率。
degrees of knowledge gaps due to model sizes and pre-training settings. Our training data appears to better complement the existing knowledge of Qwen-32B, while it may be less effective in bridging gaps for Qwen-7B.
由于模型大小和预训练设置导致的知识差距程度。我们的训练数据似乎更好地补充了 Qwen-32B 的现有知识,而对于 Qwen-7B 来说,可能在弥补差距方面的效果较差。
In addition, OREAL-DSR1-Distill-Qwen-7B improves the MATH-500 score from 92.8 to 94.0 and also achieves gains on Live Math Bench and Olympiad Bench. However, its performance on the AIME benchmark series is comparatively weaker. We observe the same disadvantages of OREAL-32B and OREAL-7B, whose AIME2024 scores are relatively lower than the best scores. Since the overall performance verifies the effectiveness of the OREAL algorithm, we attribute the reason to the deficiency (e.g., in response quality, query difficulty, and quantity) of RFT data and RL training queries for obtaining high performance in the domain of AIME and leave it for the future work.
此外,OREA1-DSR1-Distill-Qwen-7B 将 MATH-500 分数从 92.8 提升至 94.0,并在 Live Math Bench 和 Olympiad Bench 上取得了进步。然而,它在 AIME 基准系列上的表现相对较弱。我们观察到 OREAL-32B 和 OREAL-7B 也存在同样的劣势,它们的 AIME2024 分数相对低于最佳分数。由于整体性能验证了 OREAL 算法的有效性,我们将原因归咎于 RFT 数据和 RL 训练查询在 AIME 领域获得高性能方面的不足(例如,在响应质量、查询难度和数量方面),并将其留待未来工作。
4.3 Ablation Study
4.3 消融研究
To verify the effectiveness of each component described in Section 2, we progressively add the proposed component based on the 7B model and compare the evaluation results on MATH-500, starting from REINFORCE [50] as baseline.
为验证第2节中描述的每个组件的有效性,我们从REINFORCE [50] 作为基线开始,逐步在7B模型基础上添加所提出的组件,并在MATH-500上比较评估结果。
As shown in Tabel 2, we add each component step by step, where “Reward Shaping” represents $L_{2}$ introduced in Section 2.3, “Behavior Cloning” represents $L_{1}$ introduced in Section 2.2, “Importance Shaping” represents $L_{t o t a l}$ introduced in Section 2.4. The gradual addition of the modules steadily increases the $\mathrm{Pass}(\varpi1$ scores of the 7B model on MATH-500, proving the effectiveness of our method. Ultimately, the policy model is raised from an initial score of 84.8 to 91.0.
如表 2 所示,我们逐步添加每个组件,其中“Reward Shaping”表示第 2.3 节中介绍的 $L_{2}$,“Behavior Cloning”表示第 2.2 节中介绍的 $L_{1}$,“Importance Shaping”表示第 2.4 节中介绍的 $L_{t o t a l}$。逐步添加这些模块后,7B 模型在 MATH-500 上的 $\mathrm{Pass}(\varpi1$ 分数稳步提高,证明了我们方法的有效性。最终,策略模型的得分从最初的 84.8 提高到了 91.0。
We also report average pass $@1$ accuracy across all benchmarks during the training process with different RL settings. As shown in Figure 2, the REINFORCE training process is unstable, which can be mitigated by “Reward Shaping”. “Behavioral Cloning” for positive samples can speed up convergence and show better performance early in training. Although the performance growth of “Importance Sampling” is relatively slow in the early stage of training, it ultimately obtains the best results.
我们还报告了在不同RL设置下训练过程中所有基准的平均通过$@1$准确率。如图2所示,REINFORCE训练过程不稳定,可以通过“奖励塑造”来缓解。“行为克隆”用于正样本可以加速收敛,并在训练早期表现更好。尽管“重要性采样”在训练早期的性能增长相对较慢,但最终获得了最佳结果。
4.4 Analysis of Initial Policy Models
4.4 初始策略模型分析
We further analyze OREAL by adopting it to several different initial policy models, as shown in Table 3. OREAL consistently improves the performance of each initial policy model, including our own trained model and the strong distilled model [13], on MATH-500, Live Math Bench, and Olympiad Bench, except slight fluctuations on AIME2024 and AIME2025 part1 when the performance of initial policy models are already high (e.g., DeepSeek-R1-Distill-Qwen-7B), which demonstrates the generality of OREAL.
我们进一步通过将 OREAL 应用于几种不同的初始策略模型来进行分析,如表 3 所示。在 MATH-500、Live Math Bench 和 Olympiad Bench 上,OREA L 始终提升了每个初始策略模型的性能,包括我们自行训练的模型和强蒸馏模型 [13],尽管在 AIME2024 和 AIME2025 part1 上,当初始策略模型的性能已经很高时(例如 DeepSeek-R1-Distill-Qwen-7B),出现了轻微的波动,这证明了 OREAL 的通用性。
After adding skill-based enhancement data (introduced in Section 3.3), there is a significant rise in MATH-500 scores for the initial policy model (row 1 and row 3) and the corresponding RL-trained model (row 2 and row 4). Since our enhancement is performed primarily for the MATH-500, this verifies the effectiveness of the skill-based enhancement approach. In addition, the performance of the model after RL is strongly correlated with the capabilities of the initial policy model itself. The stronger the initial policy model, the higher the performance that RL can deliver, indicating the importance of policy initialization.
在添加基于技能的增强数据(在第 3.3 节中介绍)后,初始策略模型(第 1 行和第 3 行)和相应的 RL 训练模型(第 2 行和第 4 行)的 MATH-500 分数显著提高。由于我们的增强主要针对 MATH-500 进行,这验证了基于技能的增强方法的有效性。此外,RL 后模型的性能与初始策略模型本身的能力密切相关。初始策略模型越强,RL 所能提供的性能就越高,这表明了策略初始化的重要性。
Table 3: Evaluation for the performance of OREAL on different initial policy models. Here, “-SFT” and “DeepSeek-R1-Distill-Qwen7B” denote the initial policy model. “wo-enhance” means the model which do not perform the skill-based enhancement during the SFT stage.
表 3: OREAL 在不同初始策略模型上的性能评估。其中,“-SFT”和“DeepSeek-R1-Distill-Qwen7B”表示初始策略模型。“wo-enhance”表示在 SFT 阶段未进行基于技能增强的模型。
5 Related Work
5 相关工作
Stimulate Reasoning using Chain of Thought. In mathematical reasoning tasks, Chain of Thought (CoT) [7] is recognized as a crucial technique to enhance the reasoning ability of large language models (LLMs), which can be implemented through few-shot examples [7] or zero-shot prompt engineering [9]. Self-consistency (SC) [8] is further proposed to generate and voting through multiple CoTs. In addition to simple CoTs, various search methods have been explored that simultaneously consider multiple potential CoTs, such as Tree-of-Thought (ToT) [51] and Graph-of-Thought (GoT) [52], which extend the idea to tree or graph structure, offering more flexibility in developing CoTs and backtracking. However, these methods mainly stimulate the reasoning capability of LLMs by prompts without parameter updates, these inference-time techniques do not fundamentally improve the underlying ability of LLMs.
使用思维链激发推理能力。在数学推理任务中,思维链 (Chain of Thought, CoT) [7] 被认为是提升大语言模型推理能力的关键技术,可以通过少样本示例 [7] 或零样本提示工程 [9] 来实现。自洽性 (Self-consistency, SC) [8] 进一步提出通过生成多个 CoT 并进行投票来提升推理效果。除了简单的 CoT,还探索了多种同时考虑多个潜在 CoT 的搜索方法,例如树状思维 (Tree-of-Thought, ToT) [51] 和图状思维 (Graph-of-Thought, GoT) [52],这些方法将 CoT 扩展到树或图结构,为开发 CoT 和回溯提供了更大的灵活性。然而,这些方法主要通过提示激发大语言模型的推理能力,而不涉及参数更新,这些推理时技术并未从根本上提升大语言模型的底层能力。
Reasoning Enhancement by Supervised Fine-tuning. To let the LLMs essentially acquire the reasoning abilities, many studies [5, 53–57] have explored synthesizing high-quality data to conduct supervised fine-tuning (SFT) on LLMs. But this method heavily relies on high-quality training data and a existing high-performing model [15]. As a result, many existing works [11, 12] have turned to distilling knowledge from powerful, large-scale models to synthesize data, yielding good results. However, distilled-based methods receive the limitations of the teacher model. One criticism of SFT is its limited generalization capability [58]. Some studies argue that SFT merely transforms the model into a knowledge retriever, rather than an actual reasoner [59].
通过监督微调增强推理能力。为了让大语言模型从根本上获得推理能力,许多研究 [5, 53–57] 探索了合成高质量数据来对大语言模型进行监督微调 (SFT)。但这种方法严重依赖于高质量的训练数据和现有的高性能模型 [15]。因此,许多现有工作 [11, 12] 转向从强大的大规模模型中提取知识来合成数据,取得了良好的效果。然而,基于蒸馏的方法受到教师模型限制。对 SFT 的一个批评是其泛化能力有限 [58]。一些研究认为,SFT 仅仅将模型转变为知识检索器,而不是真正的推理器 [59]。
Reinforcement Learning for LLM. Compared to SFT, reinforcement learning (RL) offers better generalization and is therefore considered a more fundamental training aproach [58]. Previous attempts applying RL for LLMs mainly target aligning the LLM to human preferences [27]. Later, some works [5, 6, 15, 60] has attempted to use it to enhance the model’s reasoning and obtained promising results. Recently, the advent of the o1 family of models [10] and a series of o1-like works [13, 20, 44, 45] make the importance of large-scale RL for inference became more apparent. Currently, the mainstream approach to RL involves using outcome reward signals [13, 18, 44] and there are different views in the community on how to use that reward signal. $\mathrm{Re}\bar{\mathrm{S}}\mathrm{T}^{E M}$ [61] and RFT [23] simply select the positive samples based on the binary signal and only use them for behavior cloning. GRPO [6], RLOO [35, 62], REINFORCE [50], use both positive and negative samples for policy updating, but facing the challenges of sparse reward in long sequence. PPO [19] makes the preference modeling on sequence-level. Different from them, to explore the limit of outcome reward, OREAL presents a unified framework, grounded in the unique characteristics of mathematical reasoning tasks.
大语言模型的强化学习。与监督微调(SFT)相比,强化学习(RL)提供了更好的泛化能力,因此被认为是一种更基础的训练方法[58]。之前尝试将RL应用于大语言模型的研究主要针对将大语言模型与人类偏好对齐[27]。随后,一些工作[5, 6, 15, 60]尝试使用RL来增强模型的推理能力,并取得了令人鼓舞的结果。最近,o1系列模型[10]的出现以及一系列类似o1的工作[13, 20, 44, 45]使得大规模RL在推理中的重要性变得更加明显。目前,RL的主流方法涉及使用结果奖励信号[13, 18, 44],而社区对于如何使用该奖励信号存在不同观点。$\mathrm{Re}\bar{\mathrm{S}}\mathrm{T}^{E M}$[61]和RFT[23]简单地基于二进制信号选择正样本,并仅将其用于行为克隆。GRPO[6]、RLOO[35, 62]、REINFORCE[50]使用正负样本进行策略更新,但面临长序列中奖励稀疏的挑战。PPO[19]在序列级别上进行偏好建模。与它们不同,为了探索结果奖励的极限,OREAL提出了一个统一的框架,基于数学推理任务的独特特性。
6 Conclusion and Future Work
6 结论与未来工作
This paper aims to explore the limit of Outcome REwArd-based reinforcement Learning for mathematical reasoning tasks, and proposes a unified policy optimization framework, termed OREAL, grounded in three key insights: 1) Behavior cloning on positive trajectories from Best-of-n (BoN) sampling is both necessary and sufficient for optimal policy learning under binary feedback; 2)
本文旨在探索基于结果奖励的强化学习(Outcome REwArd-based reinforcement Learning)在数学推理任务中的极限,并提出了一种统一的策略优化框架,称为 OREAL。该框架基于三个关键洞察:1)在 Best-of-n (BoN) 采样的正轨迹上进行行为克隆对于在二元反馈下学习最优策略是必要且充分的;2)
Accordingly, a reward-shaping mechanism should be further introduced to transform the reward function derived from the optimal policy; 3) An efficient token-level credit assignment scheme can be achieved through trajectory advantage decomposition without relying on additional value networks. Together, these components form a theoretically grounded, general, and scalable approach for mathematical reasoning tasks. With OREAL, we are the first to improve the performance of a 7B model on the MATH-500 accuracy to 91 using the RL method instead of distillation, which even surpasses OpenAI-o1-mini and QwQ-32B-Preview. Even when taking the previous best 7B model, DeepSeek-R1-Distill-Qwen-7B, as initial policy, OREAL can improve it to 94 pass $@1$ accuracy on MATH-500, being even on par with the previous best 32B models. OREAL-32B also obtains new state-of-the-art results among the 32B model on MATH-500, Live Math Bench, and Olympiad Bench.
相应地,应进一步引入奖励塑造机制,以优化策略导出的奖励函数;3) 通过轨迹优势分解,可以在不依赖额外价值网络的情况下实现高效的 Token 级信用分配方案。这些组件共同构成了一个理论上可靠、通用且可扩展的数学推理任务方法。通过 OREAL,我们首次使用强化学习方法而非蒸馏方法,将 7B 模型在 MATH-500 上的准确率提升至 91,甚至超过了 OpenAI-o1-mini 和 QwQ-32B-Preview。即使以之前最佳的 7B 模型 DeepSeek-R1-Distill-Qwen-7B 作为初始策略,OREAL 也能将其在 MATH-500 上的 pass $@1$ 准确率提升至 94,与之前最佳的 32B 模型持平。OREAL-32B 在 MATH-500、Live Math Bench 和 Olympiad Bench 上也取得了 32B 模型中的最新最优结果。
Along with the experimental observations presented in this paper, we also find two factors that are crucial for the success of scalable RL for mathematical reasoning tasks, which become the primary focus of our future work. First, the initial policy model should be as free of knowledge deficiencies as possible, as this serves as the foundation for further improvement during the RL stage. A strong starting point ensures that RL can effectively and efficiently in centi viz e the underlying capability of LLMs obtained through pre-training or supervised fine-tuning. Towards this goal, it is a practical way to conduct distillation or data synthesis with DeepSeek-R1 or DeepSeek-V3, which is not explored in this work as it is orthogonal to our investigation. Second, the quality of the data used in the RL phase must be diverse and sufficient in terms of difficulty, quantity, and scope. A well-balanced dataset enables the model to reach its full potential by exposing it to a broad range of challenges and learning opportunities. Thus, we believe it is still valuable to make efforts in the pre-training and post-training data construction process.
除了本文中提出的实验观察结果外,我们还发现两个因素对于数学推理任务的可扩展强化学习(RL)的成功至关重要,这也成为我们未来工作的主要焦点。首先,初始策略模型应尽可能避免知识缺陷,因为这是RL阶段进一步改进的基础。一个强大的起点确保RL能够有效且高效地利用通过预训练或监督微调获得的大语言模型的潜在能力。为了实现这一目标,使用DeepSeek-R1或DeepSeek-V3进行蒸馏或数据合成是一种实用方法,尽管这项工作并未探讨,因为它与我们的研究正交。其次,RL阶段使用的数据在难度、数量和范围上必须多样化且充足。一个平衡良好的数据集通过让模型面对广泛的挑战和学习机会,使其能够充分发挥潜力。因此,我们相信在预训练和后训练数据构建过程中投入努力仍然是有价值的。
References
参考文献
[11] Zhen Huang, Haoyang Zou, Xuefeng Li, Yixiu Liu, Yuxiang Zheng, Ethan Chern, Shijie Xia, Yiwei Qin, Weizhe Yuan, and Pengfei Liu. O1 replication journey–part 2: Surpassing o1-preview through simple distillation, big progress or bitter lesson? arXiv preprint arXiv:2411.16489, 2024.
[11] Zhen Huang, Haoyang Zou, Xuefeng Li, Yixiu Liu, Yuxiang Zheng, Ethan Chern, Shijie Xia, Yiwei Qin, Weizhe Yuan, and Pengfei Liu. O1 复制之旅——第二部分:通过简单蒸馏超越 O1 预览,是巨大进步还是惨痛教训?arXiv 预印本 arXiv:2411.16489, 2024.
[12] Yingqian Min, Zhipeng Chen, Jinhao Jiang, Jie Chen, Jia Deng, Yiwen Hu, Yiru Tang, Jiapeng Wang, Xiaoxue Cheng, Huatong Song, Wayne Xin Zhao, Zheng Liu, Zhongyuan Wang, and Ji-Rong Wen. Imitate, explore, and self-improve: A reproduction report on slow-thinking reasoning systems. arXiv preprint arXiv:2412.09413, 2024.
[12] Yingqian Min, Zhipeng Chen, Jinhao Jiang, Jie Chen, Jia Deng, Yiwen Hu, Yiru Tang, Jiapeng Wang, Xiaoxue Cheng, Huatong Song, Wayne Xin Zhao, Zheng Liu, Zhongyuan Wang, and Ji-Rong Wen. 模仿、探索与自我提升:关于慢思考推理系统的复现报告. arXiv preprint arXiv:2412.09413, 2024.
[13] DeepSeek-AI, Daya Guo, Dejian Yang, Haowei Zhang, Junxiao Song, Ruoyu Zhang, Runxin Xu, Qihao Zhu, Shirong Ma, Peiyi Wang, Xiao Bi, Xiaokang Zhang, Xingkai Yu, Yu Wu, Z. F. Wu, Zhibin Gou, Zhihong Shao, Zhuoshu Li, Ziyi Gao, Aixin Liu, Bing Xue, Bingxuan Wang, Bochao Wu, Bei Feng, Chengda Lu, Chenggang Zhao, Chengqi Deng, Chenyu Zhang, Chong Ruan, Damai Dai, Deli Chen, Dongjie Ji, Erhang Li, Fangyun Lin, Fucong Dai, Fuli Luo, Guangbo Hao, Guanting Chen, Guowei Li, H. Zhang, Han Bao, Hanwei Xu, Haocheng Wang, Honghui Ding, Huajian Xin, Huazuo Gao, Hui Qu, Hui Li, Jianzhong Guo, Jiashi Li, Jiawei Wang, Jingchang Chen, Jingyang Yuan, Junjie Qiu, Junlong Li, J. L. Cai, Jiaqi Ni, Jian Liang, Jin Chen, Kai Dong, Kai Hu, Kaige Gao, Kang Guan, Kexin Huang, Kuai Yu, Lean Wang, Lecong Zhang, Liang Zhao, Litong Wang, Liyue Zhang, Lei Xu, Leyi Xia, Mingchuan Zhang, Minghua Zhang, Minghui Tang, Meng Li, Miaojun Wang, Mingming Li, Ning Tian, Panpan Huang, Peng Zhang, Qiancheng Wang, Qinyu Chen, Qiushi Du, Ruiqi Ge, Ruisong Zhang, Ruizhe Pan, Runji Wang, R. J. Chen, R. L. Jin, Ruyi Chen, Shanghao Lu, Shangyan Zhou, Shanhuang Chen, Shengfeng Ye, Shiyu Wang, Shuiping Yu, Shunfeng Zhou, Shuting Pan, S. S. Li, Shuang Zhou, Shaoqing Wu, Shengfeng Ye, Tao Yun, Tian Pei, Tianyu Sun, T. Wang, Wangding Zeng, Wanjia Zhao, Wen Liu, Wenfeng Liang, Wenjun Gao, Wenqin Yu, Wentao Zhang, W. L. Xiao, Wei An, Xiaodong Liu, Xiaohan Wang, Xiaokang Chen, Xiaotao Nie, Xin Cheng, Xin Liu, Xin Xie, Xingchao Liu, Xinyu Yang, Xinyuan Li, Xuecheng Su, Xuheng Lin, X. Q. Li, Xiangyue Jin, Xiaojin Shen, Xiaosha Chen, Xiaowen Sun, Xiaoxiang Wang, Xinnan Song, Xinyi Zhou, Xianzu Wang, Xinxia Shan, Y. K. Li, Y. Q. Wang, Y. X. Wei, Yang Zhang, Yanhong Xu, Yao Li, Yao Zhao, Yaofeng Sun, Yaohui Wang, Yi Yu, Yichao Zhang, Yifan Shi, Yiliang Xiong, Ying He, Yishi Piao, Yisong Wang, Yixuan Tan, Yiyang Ma, Yiyuan Liu, Yongqiang Guo, Yuan Ou, Yuduan Wang, Yue Gong, Yuheng Zou, Yujia He, Yunfan Xiong, Yuxiang Luo, Yuxiang You, Yuxuan Liu, Yuyang Zhou, Y. X. Zhu, Yanhong Xu, Yanping Huang, Yaohui Li, Yi Zheng, Yuchen Zhu, Yunxian Ma, Ying Tang, Yukun Zha, Yuting Yan, Z. Z. Ren, Zehui Ren, Zhangli Sha, Zhe Fu, Zhean Xu, Zhenda Xie, Zhengyan Zhang, Zhewen Hao, Zhicheng Ma, Zhigang Yan, Zhiyu Wu, Zihui Gu, Zijia Zhu, Zijun Liu, Zilin Li, Ziwei Xie, Ziyang Song, Zizheng Pan, Zhen Huang, Zhipeng Xu, Zhongyu Zhang, and Zhen Zhang. Deepseek-r1: In centi viz ing reasoning capability in llms via reinforcement learning, 2025.
[14] Aixin Liu, Bei Feng, Bing Xue, Bingxuan Wang, Bochao Wu, Chengda Lu, Chenggang Zhao, Chengqi Deng, Chenyu Zhang, Chong Ruan, et al. Deepseek-v3 technical report. arXiv preprint arXiv:2412.19437, 2024.
[14] Aixin Liu, Bei Feng, Bing Xue, Bingxuan Wang, Bochao Wu, Chengda Lu, Chenggang Zhao, Chengqi Deng, Chenyu Zhang, Chong Ruan, 等. Deepseek-v3 技术报告. arXiv 预印本 arXiv:2412.19437, 2024.
[15] Hunter Lightman, Vineet Kosaraju, Yura Burda, Harri Edwards, Bowen Baker, Teddy Lee, Jan Leike, John Schulman, Ilya Sutskever, and Karl Cobbe. Let’s verify step by step. arXiv preprint arXiv:2305.20050, 2023.
[15] Hunter Lightman, Vineet Kosaraju, Yura Burda, Harri Edwards, Bowen Baker, Teddy Lee, Jan Leike, John Schulman, Ilya Sutskever, and Karl Cobbe. 让我们一步步验证。arXiv preprint arXiv:2305.20050, 2023.
[16] Kimi Team, Angang Du, Bofei Gao, Bowei Xing, Changjiu Jiang, Cheng Chen, Cheng Li, Chenjun Xiao, Chenzhuang Du, Chonghua Liao, et al. Kimi k1. 5: Scaling reinforcement learning with llms. arXiv preprint arXiv:2501.12599, 2025.
[16] Kimi Team, Angang Du, Bofei Gao, Bowei Xing, Changjiu Jiang, Cheng Chen, Cheng Li, Chenjun Xiao, Chenzhuang Du, Chonghua Liao, et al. Kimi k1. 5: 基于大语言模型的强化学习扩展. arXiv preprint arXiv:2501.12599, 2025.
[17] Peiyi Wang, Lei Li, Zhihong Shao, Runxin Xu, Damai Dai, Yifei Li, Deli Chen, Yu Wu, and Zhifang Sui. Math-shepherd: Verify and reinforce llms step-by-step without human annotations. In Proceedings of the 62nd Annual Meeting of the Association for Computational Linguistics (Volume 1: Long Papers), pages 9426–9439, 2024.
[17] Peiyi Wang, Lei Li, Zhihong Shao, Runxin Xu, Damai Dai, Yifei Li, Deli Chen, Yu Wu, and Zhifang Sui. Math-shepherd: 无需人工标注的逐步验证和强化大语言模型。载于《第62届计算语言学协会年会论文集(第一卷:长篇论文)》,第9426-9439页,2024年。
A Token Level Reward Model Score Visualization
Token 级别的奖励模型分数可视化
Figure A1 and A2 show the token-level reward model scores across responses. The values are normalized to [0, 1]. Cooler colors indicate higher reward scores, while warmer colors denote lower scores. For correct responses, the overall REWARDS are high, especially at the end, although there are a few lower sections in the middle. For incorrect responses, the distribution of rewards is reversed, and the closer to the end the lower the rewards. This indicates that not all tokens contribute to the response equally and it is important to assign token-level credits to the sequences.
图 A1 和图 A2 展示了跨响应的 Token 级别奖励模型分数。数值被归一化到 [0, 1]。冷色调表示较高的奖励分数,而暖色调表示较低的分数。对于正确的响应,整体奖励较高,尤其是在末尾,尽管中间有一些较低的部分。对于错误的响应,奖励分布相反,越接近末尾奖励越低。这表明并非所有 Token 对响应的贡献相等,因此为序列分配 Token 级别的信用非常重要。
B Prompt
B 提示
Figure A3 is the system prompt of the verifier model, which is used during RL training to provide the binary outcome reward for a response. Figure A4 is the system prompt we use for fine-tuning and RL training as well as the evaluation.
图 A3 是验证器模型的系统提示,用于 RL 训练期间为响应提供二元结果奖励。图 A4 是我们用于微调、RL 训练以及评估的系统提示。
要解方程 ( z^4 + 4z^3i - 6z^2 - 4zi - i = 0 ),我们首先注意到它可以重写为二项式展开的形式。观察到多项式的系数与 ((z+i)^4) 的二项式系数相匹配,除了常数项。具体来说,( z^2i^2 + 4zi^3 + i^4 = z^4 + 4z^3i - 6z^2 - 4zi + 1 )。因此,我们可以将给定方程重写为 ((z+i)^4 = 1 + i)。
接下来,我们需要将 ( 1 + i ) 表示为极坐标形式。( 1 + i ) 的模为 ( |1 + i| = \sqrt{1^2 + 1^2} = \sqrt{2} ),幅角为 ( \arg(1 + i) = \frac{\pi}{4} )。因此,( 1 + i ) 可以表示为 ( \sqrt{2}\left(\cos\frac{\pi}{4} + i\sin\frac{\pi}{4}\right) )。
四次根由下式给出:
[
z + i = \left(\sqrt{2}\right)^{1/4}\left(\cos\frac{\pi + 2k\pi}{16} + i\sin\frac{\pi + 2k\pi}{16}\right)
]
其中 ( k = 0, 1, 2, 3 )。这些根为:
[
z + i = 2^{1/8}\left(\cos\frac{\pi}{16} + i\sin\frac{\pi}{16}\right),
]
[
z + i = 2^{1/8}\left(\cos\frac{9\pi}{16} + i\sin\frac{9\pi}{16}\right),
]
[
z + i = 2^{1/8}\left(\cos\frac{17\pi}{16} + i\sin\frac{17\pi}{16}\right),
]
[
z + i = 2^{1/8}\left(\cos\frac{25\pi}{16} + i\sin\frac{25\pi}{16}\right).
]
因此,解为:
[
z = 2^{1/8}\left(\cos\frac{\pi}{16} + i\sin\frac{\pi}{16}\right) - i,
]
[
z = 2^{1/8}\left(\cos\frac{9\pi}{16} + i\sin\frac{9\pi}{16}\right) - i,
]
[
z = 2^{1/8}\left(\cos\frac{17\pi}{16} + i\sin\frac{17\pi}{16}\right) - i,
]
[
z = 2^{1/8}\left(\cos\frac{25\pi}{16} + i\sin\frac{25\pi}{16}\right) - i.
]
这些解表示复平面中一个正方形的顶点,每条边的长度为 ( 2^{5/8} ),面积为 ( 2^{5/4} )。因此,我们有 ( p = 2 ),( a = 5 ),( b = 4 ),所以 ( a + b + p = 5 + 4 + 2 = 11 )。最终答案为 (\boxed{11})。

Figure A1: Token-level reward model score visualization for a correct response. Figure A2: Token-level reward model score visualization for an incorrect response.
图 A1: 正确响应的 Token 级奖励模型得分可视化。图 A2: 错误响应的 Token 级奖励模型得分可视化。


Judging the correctness of candidates’ answers:
判断候选人答案的正确性:
System Prompt:
系统提示:
You are an expert mathematician with extensive experience in mathematical competitions. You approach problems through systematic thinking and rigorous reasoning. When solving problems, follow these thought processes:
你是一位经验丰富的数学竞赛专家,擅长通过系统性思维和严谨推理来解决问题。在解题时,请遵循以下思考流程:
## Multi-angle Analysis
多角度分析
Before solving, conduct through analysis: - What mathematical concepts and properties are involved? - Can you recall similar classic problems or solution methods? - Would diagrams or tables help visualize the problem? - Are there special cases that need separate consideration?
解决前进行深入分析:
- 涉及哪些数学概念和性质?
- 你能回忆起类似的经典问题或解决方法吗?
- 图表是否有助于可视化问题?
- 是否有需要单独考虑的特殊情况?
## Systematic Thinking
系统性思维
Plan your solution path:
规划你的解决路径:
- Propose multiple possible approaches - Analyze the feasibility and merits of each method - Choose the most appropriate method and explain why - Break complex problems into smaller, manageable steps
- 提出多种可能的方法
- 分析每种方法的可行性和优点
- 选择最合适的方法并解释原因
- 将复杂问题分解为更小、可管理的步骤
## Rigorous Proof
严格证明
During the solution process: - Provide solid justification for each step - Include detailed proofs for key conclusions - Pay attention to logical connections - Be vigilant about potential oversights
在解决过程中:- 为每一步提供充分的理由 - 包含关键结论的详细证明 - 注意逻辑联系 - 警惕潜在的疏忽
## Repeated Verification
重复验证
After completing your solution:
完成解决方案后:
- Verify your results satisfy all conditions - Check for overlooked special cases - Consider if the solution can be optimized or simplified - Review your reasoning process
- 验证结果是否满足所有条件
- 检查是否忽略了特殊情况
- 考虑解决方案是否可以优化或简化
- 回顾推理过程
Remember:
记住:
- Take time to think thoroughly rather than rushing to an answer
- 花时间深入思考,而不是急于给出答案
Your response should reflect deep mathematical understanding and precise logical thinking, making your solution path and reasoning clear to others. When you’re ready, present your complete solution with:
你的回答应体现深厚的数学理解和精确的逻辑思维,使你的解题路径和推理过程清晰易懂。准备好后,请完整呈现你的解决方案:
- Clear problem understanding - Detailed solution process - Key insights - Thorough verification
- 清晰的问题理解 - 详细的解决方案过程 - 关键见解 - 彻底的验证
Focus on clear, logical progression of ideas and thorough explanation of your mathematical reasoning. Provide answers in the same language as the user asking the question, repeat the final answer using a ’\boxed{}’ without any units, you have [[8192]] tokens to complete the answer.
专注于清晰、逻辑连贯的思路,并详尽解释你的数学推理。用提问者相同的语言提供答案,使用“\boxed{}”重复最终答案,不带任何单位,你有[[8192]]个Token来完成答案。
